- Aula nº4
⇒ Aceleração média;
⇒ Aceleração;
⇒ Gráficos velocidade-tempo;
Aceleração média
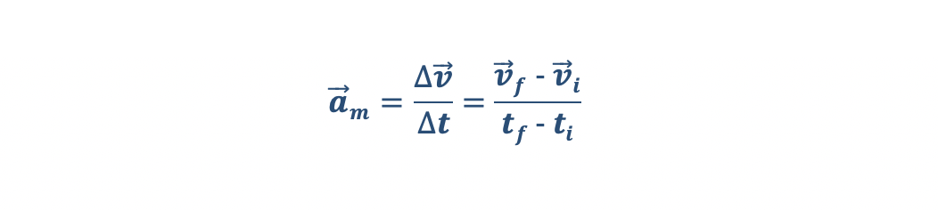
Para quantificar a variação da velocidade de um corpo num certo intervalo de tempo define-se a grandeza aceleração média (símbolo am )
Considerando um automóvel que, partindo do repouso, atinja 100 km h-1, ou seja, 28 m s-1, em 7,5 s, verifica-se que tem uma aceleração média de módulo 3,73 m s-2.
- Em média, o módulo da a sua velocidade aumenta 3,73 m s-1 em cada segundo.
Nos movimentos retilíneos pode ou não existir aceleração
Quando há aceleração esta tem a direção da trajetória e, consequentemente, da velocidade, pois esta é, em cada instante, tangente à trajetória descrita.
🛑 Num movimento retilíneo uniforme, a aceleração é nula e a velocidade, v, é constante.
🛑 Movimento retilíneo acelerado no sentido positivo do referencial.
Num movimento retilíneo acelerado, a aceleração e a velocidade têm o mesmo sentido.
O movimento dá-se:
- no sentido positivo se as componentes escalares da aceleração e da velocidade forem a > 0 e v > 0;
🛑 Movimento retilíneo acelerado no sentido negativo do referencial.
Num movimento retilíneo acelerado, a aceleração e a velocidade têm o mesmo sentido.
O movimento dá-se:
- no sentido negativo se as componentes escalares da aceleração e da velocidade forem a < 0 e v < 0 ;
No movimento retilíneo acelerado e num certo intervalo de tempo, para qualquer referencial :
⇒ as componentes escalares da velocidade e da aceleração média ou são ambas positivas ou são ambas negativas;
⇒ os vetores velocidade e aceleração média têm a mesma direção e sentido.
🛑 Movimento retilíneo retardado no sentido positivo do referencial.
Num movimento retilíneo retardado, a aceleração e a velocidade têm sentidos opostos.
O movimento dá-se:
- no sentido positivo se as componentes escalares da aceleração e da velocidade forem a < 0 e v > 0;
🛑 Movimento retilíneo retardado no sentido negativo do referencial.
Num movimento retilíneo retardado, a aceleração e a velocidade têm sentidos opostos.
O movimento dá-se:
- no sentido negativo se as componentes escalares da aceleração e da velocidade forem a > 0 e v < 0;
No movimento retilíneo retardado e num certo intervalo de tempo, para qualquer referencial :
⇒ se a componente escalar da velocidade for positiva, a da aceleração média será negativa e vice-versa ;
⇒ o vetor velocidade tem sentido oposto ao do vetor aceleração média, mas tem a mesma direção.
Aceleração
Quando o intervalo de tempo, Δt , é, muito pequeno, próximo de zero, obtém-se o vetor aceleração instantânea ou aceleração.
Nos movimentos curvilíneos há sempre aceleração
Em cada instante a aceleração está dirigida para a concavidade da trajetória e apresenta direção diferente da velocidade, uma vez que esta é , em cada instante, tangente a trajetória.
Tal como se associa uma velocidade a um instante, também se define aceleração num instante
A aceleração tem a mesma unidade da aceleração média.
Gráficos velocidade-tempo
- Quando, num movimento retilíneo, a aceleração é sempre a mesma em qualquer instante, o seu valor coincide com o da aceleração média.
Este movimento designa-se por movimento uniformemente variado: pode ser uniformemente acelerado, se o módulo da velocidade aumentar , ou uniformemente retardado, se o módulo da velocidade diminuir.
Um exemplo de movimento uniformemente variado é o movimento vertical de um corpo sujeito apenas à força gravítica: esse corpo designa-se por grave e diz-se em queda livre (quer esteja a descer ou a subir) .
À aceleração de um grave chama-se aceleração gravítica (símbolo g).
⇒ À superfície terrestre, é aproximadamente constante e tem o módulo de cerca de 9,8 m s-2.
Podemos afirmar que o módulo da velocidade de um grave aumenta 9,8 m s-1 em cada segundo, quando este cai, e diminui 9,8 m s-1 em cada segundo, quando sobe, após ter sido lançado verticalmente para cima.
Construção de gráfico aceleração-tempo
⇒ A aceleração relaciona variações de velocidade com o tempo.
A componente escalar da aceleração num dado instante pode ser obtida a partir de um gráfico velocidade-tempo e é igual ao declive da reta tangente ao gráfico velocidade-tempo, nesse instante.
Movimento acelerado no sentido positivo
• O declive das retas tangentes é positivo e aumenta: ax > 0, mas ax não é constante.
• O módulo da velocidade aumenta.
• vx > 0: sentido positivo.
Movimento retardado no sentido positivo
• O declive das retas tangentes é negativo e aumenta em valor absoluto: ax < 0, mas ax não é constante.
• O módulo da velocidade diminui.
• vx > 0: sentido positivo.









