Conteúdos:

Unidade 0- Diversidade na Biosfera

Unidade 1 – Obtenção de matéria

Unidade 2 – Distribuição de matéria

Unidade 3 – Transformação e utilização de energia pelos seres vivos.

GRUPO I

Germinação das sementes

       Quando uma semente encontra condições favoráveis do meio ambiente, desenvolve-se, dando origem a uma nova planta. A isso dá-se o nome de germinação. A semente absorve água através do tegumento e começa a inchar. Com o aumento do volume, o tegumento abre-se. A primeira parte do embrião a emergir é a raiz. Ao mesmo tempo, observa-se o início do alongamento do hipocótilo e do epicótilo. Muitas sementes passam por um período de dormência antes de iniciar a germinação. Algumas precisam de um estímulo, como a exposição a baixas temperaturas ou a períodos de seca. Com isso, plantas de regiões com invernos rigorosos, por exemplo, apresentam germinação só na primavera. Para que uma semente germine é necessário que esteja inteira, madura e sadia. Além disso, é preciso que no ambiente haja oxigênio, calor e humidade suficientes. É por isso que o agricultor, antes de fazer a semeadura, lavra a terra. Com esse procedimento, há maior penetração do ar da atmosfera no solo.

 Com o objetivo de estudar a influência de alguns fatores na germinação das sementes de feijoeiro um grupo de investigadores  colocou sementes a germinar sob determinadas condições. Ao longo da experiência, efetuaram-se medições e respetivos registos, mais precisamente da quantidades de amido nos cotilédones[1] (Tabela I) , constituintes da semente e sua evolução ao longo do processo de germinação (figura 1), e das quantidades de oxigénio consumidas por semente (figura 2).

 

Tempo decorrido após o início da germinação 0 1 2 3 4 5 6 7
Quantidade de amido nos cotilédones 100 80 70 30 10 5 2 0

      Tabela I  

 

Figura 1 – Constituintes da semente  sua evolução  ao longo do tempo.

 

 Figura 2 – Quantidades de oxigénio consumidas por semente, no decorrer da germinação da semente do feijoeiro.

   adaptado de: http://www.esalq.usp.br/departamentos/lpv/sites/default/files/Apresent%20Germina%C3%A7%C3%A3o%20PG%202016%20pdf.

1. O Cianeto de Potássio ou Cianureto de potássio é um composto químico altamente tóxico.

Na verdade é o ião cianeto (CN) que causa a intoxicação, pois torna inerte a enzima Citocromo c oxidase, impedindo a respiração celular. Explique, quais as variações que iriam ocorrer ao nível dos estomas das folhas de uma planta de feijoeiro que estivessem sujeitos a uma atmosfera com cianeto.

Resolução

  • Tópico 1: referência a que  o cianeto de potássio ao tornar inerte a enzima Citocromo c oxidase, impede a respiração celular e consequentemente inviabiliza a produção de energia metabólica (ATP).
  • Tópico 2: referência a que sem ATP não ocorre o transporte de iões K+ para o interior das células estomáticas.
  • Tópico 3: referência a que inexistência deste transporte impede o mecanismo de aberturas dos estomas.

2. O objetivo deste procedimento experimental é testar a hipótese de que _____.

(A)  a mobilização de reservas nutritivas da semente é feita em anaerobiose.

(B)  a germinação da semente depende da existência de substância de reserva.

(C)  a mobilização de reservas nutritivas da semente é feita em aerobiose.

(D)  a velocidade de germinação da semente depende da presença de água no meio.

-

  • Opção (C)
  • O objetivo de estudar a influência de alguns fatores – oxigénio  e reservas na germinação das sementes de feijoeiro.  Assim a hipótese inicialmente estabelecida deverá ser que a mobilização de reservas nutritivas da semente é feita em aerobiose.

3. Os resultados obtidos permitem afirmar que ______.

(A)  a germinação de sementes depende da oxidação anaeróbia de glicose.

(B)  a germinação de sementes depende da presença de substâncias de reserva.

(C)  a germinação de sementes depende da presença de água.

(D)  a quantidade de amido mobilizada ao longo do tempo pela planta é constante.

Resolução

  • Opção (B)
  • Os resultados da experiência evidenciam que a quantidade de amido armazenado nos cotiledónes vai diminuindo indicando que o mesmo deverá estar a ser usado na germinação.

4. Pela análise da figura 1 será possível concluir que durante o processo de germinação, o desenvolvimento do embrião é assegurado pela mobilização das substâncias de reserva armazenadas no ­­­­_______. A a-amilase é uma enzima responsável por reações de ______, na qual se ______ água.

(A)  hipocótilo……. hidrólise ……consome

(B)  hipocótilo………condensação ….. liberta

(C)  cotilédone ……. hidrólise ……consome

(D)  cotilédone ………condensação ….. liberta.

Resolução

  • Opção (C)
  • O amido constitui a substância de reserva nas plantas, assim durante o processo de germinação o amido é hidrolisado em monossacarídeos, através da quebra das ligações glicosídicas. As reações de hidrólise implicam o consumo de água.

5. Durante o processo de germinação o ________, polissacarídeo ________, é continuamente convertido em_______.

(A)   amido …… estrutural……. aminoácidos.

(B)   amido…… de reserva…….. glicose.

(C)   glicogénio…… estrutural……. aminoácidos.

(D)   glicogénio …… de reserva……. glicose.

Resolução

  • Opção (B)
  • O amido constitui um polissacarídeo de reserva nas plantas. Durante o processo de germinação o mesmo deverá ser hidrolisado nos seus monómeros essenciais – os monossacarídeos (glicose).

6. Durante o processo de germinação, os compostos orgânicos presentes na semente sofrem oxidação ______.

(A)  completa, ocorrendo a formação de produtos finais ricos em energia potencial química.

(B)  incompleta, ocorrendo a formação de produtos finais ricos em energia potencial química.

(C)  incompleta, ocorrendo a formação de produtos finais pobres em energia potencial química.

(D)  completa, ocorrendo a formação de produtos finais pobres em energia potencial química.

Resolução

  • Opção (D)
  • A mobilização de oxigénio durante a experiência indica que durante o processo de obtenção de energia é a  respiração aeróbia. Como no processo de respiração aeróbia a oxidação da glicose é completa sendo produzidos 36/38 ATP, os produtos finais – dióxido de carbono e água – são pobres em energia potencial química.

7. A síntese de ATP nas plantas pode ocorrer ________, associada à glicólise, ou ao nível dos cloroplastos, em resultado do transporte de eletrões numa cadeia transportadora que se inicia _______.

(A)  na mitocôndria ……. nas clorofilas.

(B)   no citoplasma …… na ATP sintetase.

(C)   no citoplasma……. nas clorofilas.

(D)   na mitocôndria…… na ATP sintetase.

Resolução

  • Opção (C)
  • A glicólise é a primeira etapa da oxidação da molécula de glicose e decorre no citoplasma.
  • Nos cloroplastos tem lugar o processo de fotossíntese e na primeira fase da fotossíntese – etapa fotoquímica , tem lugar a síntese de ATP , na cadeia transportadora de eletrões do Fotossistema II que se inicia nas clorofilas.

8. Os tecidos meristemáticos não realizam a fotossíntese, dependendo da _________ para metabolizarem a ___________ a 6 moléculas de CO2, formando água como subproduto.

(A)    glicólise …….. glicose

(B)    glicólise …….. sacarose

(C)    respiração aeróbia ……. glicose

(D)    respiração aeróbia ……. sacarose

Resolução

  • Opção (C)
  • Como os tecidos meristemáticos não realizam a fotossíntese, funcionam como tecidos de consumo e dependem do fornecimento de glicose. Os tecidos condutores  (floema) transportam sacarose desde o local de produção até aos tecidos meristemáticos onde a mesma é hidrolisada em glicose e frutose. A glicose é usada na respiração aeróbia onde para além de ATP são produzidos água e CO2.

9. Durante o processo fotossintético da planta do feijoeiro, um dos produtos das reações da fase luminosa, o _______ , é eliminado como subproduto, não sendo usado como reagente durante o ___________, também conhecido como reações da fase não dependente da luz.

(A)  CO2 ……. Ciclo de Krebs

(B)  CO2 ……. Ciclo de Calvin

(C)  O2 ……. Ciclo de Calvin

(D)  O2 ……. Ciclo de Krebs

Resolução

  • Opção (C)
  • A fase luminosa da fotossíntese é a etapa fotoquímica na qual, em resultado da fotólise da água é libertado O2, sendo libertado para o ambiente como subproduto da fotossíntese.Assim o O2  não é usado como reagente na segunda 2ªetapa da fotossíntese o Ciclo de Calvin.

10. O excesso de água no solo (alagamento) pode provocar a morte de uma planta, pois _____.

(A)  a raíz deixa de realizar a fotossíntese e é incapaz de obter os compostos orgânicos de que necessita.

(B)  a respiração aeróbia é inibida, levando à morte das células da raíz e à redução do transporte de sais minerais e água para os órgãos aéreos.

(C)  a ausência de oxigénio impede o transporte de substâncias dos órgãos aéreos para as raízes.

(D)  as partes aéreas morrem e deixam de fornecer alimento à raiz.

Resolução

  • Opção (B)
  • Os espaços entre as partículas do solo deverão estar preenchidos por O2 e água. No entanto, se o solo estiver saturado com água, não existe oxigénio disponível para que as células da raiz possam realizar a respiração aeróbia. Como o transporte de sais minerais para as células da raiz ocorre preferencialmente por transporte ativo (de modo a garantir o gradiente osmótico favorável à absorção de água), ao ser inibida a respiração aeróbia, o transporte ativo de iões fica comprometido, impossibilitando a manutenção do gradiente osmótico necessário à absorção de água pela raiz.
  • Nota que: para que ocorra a absorção de água pela raiz a pressão osmótica na raiz deverá ser superior à pressão osmótica do solo.

11. Ordene as letras de A a E, de modo a reconstituir a sequência cronológica dos acontecimentos relacionados com a germinação de uma semente de feijoeiro.

(A)  Consumo de oxigénio na mitocôndria.

(B)  Atuação da  α- amílase.

(C)  Degradação do amido nos seus monómeros constituintes.

(D)  Formação de piruvato.

(E)  Ativação da glicose.

(F)   Reações de descarboxilação na matriz mitocondrial.

Resolução

  • B-C- E- D-F-A
  • Durante o processo de germinação o amido armazenado nos cotiledónes deverá ser hidrolisado pela α- amílase – B nos seus monómeros constituintes – glicose – C. A glicose é posteriormente oxidada no processo de respiração aeróbia para produzir o ATP necessário ao processo de germinação e crescimento da plântula. No processo de respiração aeróbia a etapa de glicólise inicia-se com a fosforilação e ativação da molécula de glicose – E e, como produtos finais da glicólise formam-se o  NADH, o ATP e o piruvato – D. O piruvato entra na mitocôndria onde, na matriz mitocôndrial tem lugar a formação da acetil-CoA, na qual para além da oxidação do piruvato,  têm lugar reações de descarboxilação -F. Segue-se o ciclo de Krebs e, finalmente na cadeia transportadora de eletrões ocorre a produção de ATP. No final, os eletrões resultantes da oxidação de glicose, e que percorreram a cadeia transportadora de eltrões, reduzem o oxigénio produzindo-se água -A.

12. Faça corresponder cada uma das afirmações relativas a estruturas presentes nas plantas, expressas na coluna A, ao respetivo conceito que consta na coluna B.

Utilize cada letra e cada número uma só vez.

Coluna A Coluna B
a.     Encontra-se próximo do organelo que contém o material genético celular, permitindo a síntese de proteínas.

b.     Compõem a maioria do volume celular das células vegetais.

c.     Responsável pela degradação completa do acetil-CoA a CO2, com formação de NADH, ATP e FADH2.

d.     Estrutura composta por um polissacarídeo que confere proteção, suporte e rigidez.

e.     Permite a fixação do dióxido de carbono.

 

1.     Núcleo

2.     Complexo de Golgi

3.      Mitocôndria

4.     Cloroplasto

5.     Membrana plasmática

6.     Parede Celular

7.     Vesículas secretoras

8.     Retículo endoplasmático

9.     Vacúolo

Resolução

  • a.8; b.9; c.3; d. 6; e.4

GRUPO II

adaptado de: “ Dinoflagelado – Nomenclatura Portuguesa”

Lígia Sousa , M. R. Rivas-Carballo & João Pais

 

Figura 3 – Dinoflagelados. 

1. A Maré Vermelha é um fenômeno natural que ocorre nos mares e ambientes de água doce, devido ao aumento da quantidade de dinoflagelados, resultando na formação de uma grande mancha de coloração avermelhada, amarelada, alaranjada ou acastanhada que impede dos raios solares de atingirem os pontos mais profundos dos mares, pois não conseguem passar pela superfície.

Explique quais as alterações que poderão advir em termos das cadeias alimentares e níveis de oxigénio  dos ecossistemas em consequência da ocorrência das marés vermelhas.

Resolução

  •    Tópico 1:  Referência ao facto de a Maré Vermelha  impedir os raios solares de atingirem os pontos mais profundos dos mares de tal modo que os seres fotossintéticos são incapazes de realizar a fotossintese.
  •   Tópico 2:   Referência ao facto de ocorrer uma diminuição da produção de oxigénio e compostos orgânicos e consequente redução dos produtores.

2. Os Dinoflagelados são incluídos no reino ______ por serem ______.

(A)  Monera ………… procariontes, podendo ser quanto ao modo de nutrição fotossintéticos ou heterotróficos.

(B)  Monera ……….. eucariontes, podendo ser quanto ao modo de nutrição fotossintéticos   ou heterotróficos.

(C)  Protista ……….. procarionte, podendo ser quanto ao modo de nutrição fotossintéticos  ou heterotróficos.

(D)  Protista ……… eucariontes, podendo ser quanto ao modo de nutrição fotossintéticos ou heterotroficos.

Resolução

  • Opção (D)
  • Os Dinoflagelados são protozoários e são incluídos no reino Protista. Os seres incluídos no reino Protista, são eucariontes (apresentam núcleo individualizado) , podendo ser unicelulares, coloniais ou pluricelulares com reduzido grau de diferenciação tecidular. Quanto ao modo de nutrição podem ser fotoautotróficos ou heterotróficos por absorção ou até mesmo por ingestão, correspondendo a produtores, microconsumidores ou macroconsumidores, respetivamente.

3. O Paraquat é um veneno que atua bloqueando o transporte de eletrões na cadeia transportadora presente nos tilacóides dos cloroplastos dos dinoflagelados fotossintéticos.

Esse facto leva à inibição da fotossíntese, pois não ocorre regeneração de _______, usados posteriormente nas reações de _________.

(A)    NADP + e de ADP ……. síntese de glicose.

(B)    NADPH e de ATP ….. fermentação.

(C)    NADP + e de ADP ……. fermentação.

(D)    NADPH e de ATP ….. síntese de glicose.

Resolução

  • Opção (D)
  • Na primeira etapa da fotossíntese – Etapa fotoquímica,  os eletrões percorrem uma cadeia transportadora de eletrões que se inicia nas clorofilas e que permitem a síntese de ATP (por fosforilação do ADP)  e NADPH (por redução do NADP+). Estes compostos são posteriormente usados na etapa química – Ciclo de Clavin, permitindo a produção de compostos orgânicos. Deste modo se o paraquat inibe a cadeia transportadora de eletrões  não ocorre a produção NADPH e de ATP na etapa fotoquímica inviabilizando a produção de compostos orgânicos na etapa química.

4. A transformação de matéria inorgânica em matéria orgânica, utilizando a luz como fonte de energia, é exclusiva ______.

(A)  das plantas

(B)  das bactérias quimioautotróficas.

(C)  dos seres vivos que possuem clorofila.

(D)  dos seres fotossintéticos.

Resolução

  • Opção (D)
  • Os seres fotossintéticos são aqueles que são capazes de produzir matéria orgânica a partir de matéria mineral usando como fonte de energia a luz solar. No entanto, para além das plantas existem outros seres capazes de realizar a fotossíntese – ex. algas e cianobactérias. No processo fotossintético estão envolvidos os pigmentos fotossintéticos, que no caso das plantas são principalmente as clorofilas e os carotenos, no entanto existem outros seres fotossintéticos que apresentam outro tipo de pigmentos fotossintéticos, como por exemplo as ficobilinas (cor vermelha) ou a ficocianina (cor azul).

5. Os Dinoflagelados halozóicos fagocitam partículas alimentares, ocorrendo um processo de ______.

(A)  autofagia em vesículas exocíticas.

(B)  heterofagia em que os resíduos resultantes são exocitados.

(C)  autofagia em que os resíduos resultantes são exocitados.

(D)  heterofagia em vesículas exocíticas.

Resolução

  • Opção (B)
  • Os Dinoflagelados halozóicos são heterotróficos por ingestão, assim  fagocitam as partículas alimentares, formando vesículas endocíticas que se fundem com lisossomas constituindo vacúolos digestivos. Nos vacúolos digestivos tem lugar o processo de digestão intracelular num processo de heterofagia. As micromoléculas que resultam da digestão e que são necessárias ao metabolismo celular difundem-se para o hialoplasma, sendo os resíduos da digestão eliminados por exocitose. Nota: Na heterofagia ocorre a digestão de material proveniente do exterior, na autofagia ocorre a digestão de material da própria célula.

6. A cor verde, presente nos dinoflagelados fotossintéticos, deve-se à predominância de pigmentos como ______.

(A) os carotenoides, que refletem as radiações verdes e amarelas do espectro eletromagnético.

(B) as clorofilas, que refletem as radiações verdes e amarelas do espectro eletromagnético.

(C) os carotenoides, que absorvem as radiações azuis e vermelhas do espectro eletromagnético.

(D) as clorofilas, que absorvem as radiações azuis e vermelhas do espectro eletromagnético.

Resolução

  • Opção (B)
  • As clorofilas apresentam cor verde porque refletem as radiações de comprimento de onda correspondentes ao verde e amarelo.

7. Os aminoácidos obtidos pelos dinoflagelados saprófitos, serão posteriormente ______.

(A)  polimerizados em proteínas ao nível do retículo endoplasmático rugoso.

(B)  polimerizados em polissacarídeos ao nível do retículo endoplasmático liso.

(C)  hidrolisados em proteínas ao nível do retículo endoplasmático rugoso.

(D)  hidrolisados em polissacarídeos ao nível do retículo endoplasmático liso.

Resolução

  • Opção (A)
  • Os aminoácidos são as unidades mais simples dos prótidos. Durante a síntese proteica  que tem lugar ao nível dos ribossomas localizados na face externa do retículo endoplasmático rugoso, os aminoácidos polimerizados formam péptidos ou proteínas.

8. Durante a respiração aeróbia realizada pelos dinoflagelados verifica-se a produção de ________.

(A)  água, sendo o oxigénio o acetor final de eletrões e protões.

(B)  dióxido de carbono, sendo o ácido pirúvico reduzido na matriz mitocondrial.

(C)  água, sendo o NADH o acetor final de eletrões e protões.

(D)  dióxido de carbono, sendo o ácido pirúvico reduzido no hialoplasma.

Resolução

  • Opção (A)
  • No processo de respiração aeróbia os eletrões e protões resultantes da oxidação da molécula de glicose após percorrerem a cadeia transportadora de eletrões são recebidos pelo oxigénio que assim sofre redução originado água.

9. Suponha que um dinoflagelado fotossintético, foi mantido permanentemente na obscuridade, e conseguiu sobreviver durante um período de tempo considerável. A sua sobrevivência só foi possível, porque durante esse período de tempo lhe foram fornecidos ______.

(A)  NADP+; CO2 ; ADP.

(B)  NADP+; CO2 ; ADP; radicais fosfato.

(C)  NADPH; CO2; ATP

(D)  NADPH; CO2; ATP; radicais fosfato.

Resolução

  • Opção (C)
  • Na primeira fase da fotossíntese – fotoquímica ou fase diretamente dependente da luz ocorre a produção de NADPH e ATP. Estes compostos, conjuntamente com o CO2 são fundamentais para a produção dos compostos orgânicos na etapa química ou ciclo de Calvin. Na ausência de luz solar não ocorre a produção de ATP e NADPH, no entanto se estes forem fornecidos, conjuntamente com o CO2 a um dinoflagelado fotossintético este será capaz de produzir na etapa química os compostos orgânicos fundamentais à sua sobrevivência.

10. A manutenção da pressão osmótica dos dinoflagelados, mesmo quando se verifica um aumento da pressão osmótica no meio extracelular, deve-se ao movimento preferencial desses iões por _______ .

(A)  transporte ativo, através da bicamada fosfolipídica.

(B)  difusão facilitada,  através de proteínas intrínsecas.

(C)  difusão facilitada,  através da bicamada fosfolipídica .

(D)  transporte ativo, através de proteínas intrínsecas.

Resolução

  • Opção (D)
  • A manutenção da pressão osmótica implica a existência de um mecanismo de osmorregulação. A capacidade de osmorregulação depende da realização do transporte ativo, que é um processo em que os iões são transportados contra o seu gradiente de concentração por intermédio de proteínas transportadoras.

11. Ordene as letras de A a E, de modo a reconstituir a sequência cronológica dos acontecimentos relacionados com a produção primária realizada pelos dinoflagelados fotossintéticos.

(A)  Fixação de CO2.

(B)  Produção de compostos orgânicos simples.

(C)   Oxidação da molécula de água.

(D)  Absorção de energia luminosa.

(E)  Produção de ATP.                                  

Resolução

  •    D-C-E-A-B
  • A etapa fotoquímica da fotossíntese inicia-se com a absorção da energia luminosa – D, pelos pigmentos fotossintéticos. Após  a oxidação dos pigmentos fotossintéticos por ação da luz solar tem lugar a fotólise (oxidação) da água – C , com imediata libertação de oxigénio. Ainda na etapa fotoquímica tem lugar a síntese de ATP – E e a redução do NADP+ a NADPH. Na segunda etapa, ocorre a fixação de CO2 – A seguida da desfosforilação do ATP e oxidação do NADPH. Os eletrões e protões resultantes do NADPH reduzem o CO2 formando-se compostos orgânicos – B.

12. Faça a correspondência correta entre os elementos da chave e as afirmações relativas ao processo fotossintético.

Chave Afirmações
A-    Fase química

B-    Fase fotoquímica

C-   Nenhuma das fases

D-   Ambas  as fases

1.     Produz ATP

2.     Ocorre no cloroplasto

3.     Ocorre a ativação da clorofila

4.     Gasta-se oxigénio

5.     Formam-se compostos orgânicos

Resolução

  • 1- B; 2- D; 3- B; 4-C; 5-A

GRUPO III

O metabolismo anaeróbio de glicose representa um imprescindível e rápido mecanismo de obtenção de energia. Vários fatores regulam a atividade da via glicolítica, como a disponibilidade de oxigénio e a relação das concentrações de ATP/ADP. Uma diminuição na relação ATP/ADP estimula a glicólise anaeróbia, aumentando em até cem vezes a produção de moléculas de piruvato.

Em exercícios de intensidade baixa ou moderada, a grande maioria do piruvato produzido penetra na mitocôndria e participa do ciclo de Krebs. Entretanto, conforme se aumenta a intensidade do exercício, atinge-se um ponto em que uma quantidade insuficiente de oxigénio está disponível para a fosforilação oxidativa. Assim, à medida que a intensidade do exercício aumenta, maior quantidade de lactato é produzida e uma maior proporção de energia é obtida pelas vias anaeróbias. O lactato é uma molécula que se forma a partir da dissociação do ácido lático.

Neste contexto, SEEHERMAN & MORRIS (1990) afirmaram que testes de desempenho de equinos (cavalos) devem fornecer parâmetros clínicos e metabólicos capazes de fornecer informações relativas à capacidade adaptativa dos equinos com o exercício. Dessa maneira, o propósito deste estudo foi verificar as alterações na glicemia, insulinemia e lactacidemia de equinos da raça Puro Sangue Árabe, relacionadas ao exercício físico intenso em passadeira  rolante.

 

Material e métodos

– Utilizaram-se 24 cavalos treinados, machos ou fêmeas, Puro Sangue Árabe com igual peso e idade. Forneceu-se, diariamente, ração comercial  de acordo com o peso dos animais.

Os equinos foram adaptados ao exercício em passadeira  rolante de alto desempenho e submetidos aos exercícios teste (ET) com duração de trinta minutos. Para tal, empregou-se exercício de aquecimento durante quatro minutos à velocidade de 4,0 m.s-1, a qual foi incrementada a intervalos de dois minutos, para 6,  8  e 10 m.s-1.

A partir dessa etapa de esforço máximo, procedeu-se à desaceleração, retomando a velocidade para 3,0 m.s-1, por vinte minutos, que correspondeu ao período de desaquecimento ativo. Toda a fase de esforço físico, com incremento da velocidade, foi realizada com a esteira a 10% de inclinação.

A determinação das concentrações de glicose (Glicemia), insulina (Insulinemia) e de lactato (Lactacidemia) no plasma sanguíneo foi efetuadas na fase de exercício aos  0; 4; 6; 8 e 10 minutos e na fase de desaquecimento ativo aos 15, 20 e 30 minutos, respetivamente.

Resultados       

 

 

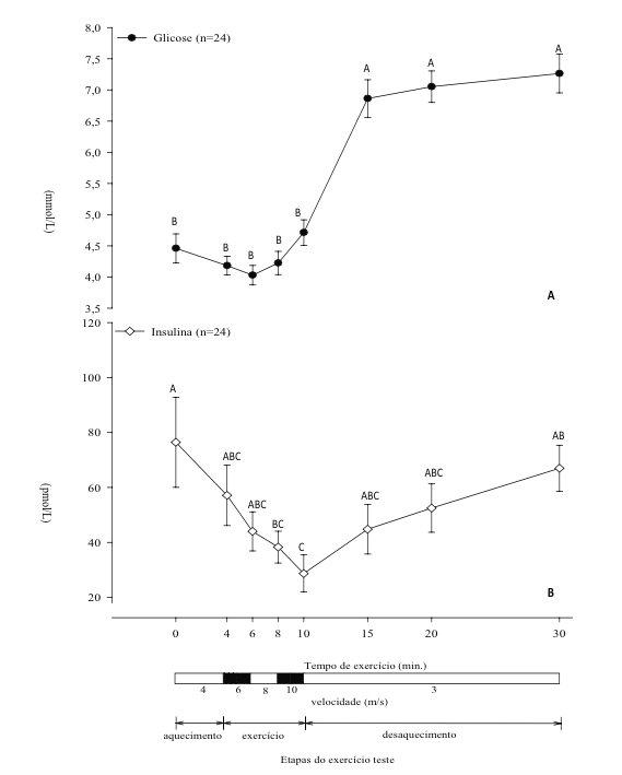
Figura 4 – Glicemia (A) e insulinemia (B) de equinos submetidos a exercícios de intensidade crescente em esteira rolante

 

 

 Figura 5 – Lactacidemia de equinos submetidos a exercícios de intensidade crescente em passadeira rolante.

adaptado de: https://www.researchgate.net/publication/43530496

 

1. Explique em que medida o aumento da intensidade do exercício físico é responsável pela variação da concentração plasmática de lactato, expressa no gráfico da figura, entre os 0 e os 10 minutos.

 

Resolução

 –        Tópico 1: Na fase de aquecimento (0 aos 4 min), a intensidade do exercício físico é baixa ou moderada  a concentração de lactato mantém-se reduzida e constante ao longo do tempo, pois a maior parte da energia necessária ao metabolismo celular é obtida a partir da oxidação completa da molécula de glicose _ Respiração Aeróbia.

–        Tópico 2: O  aumento da intensidade do exercício, durante a fase de aceleração (6-10 min) leva a que a quantidade de oxigénio disponível para a fosforilação oxidativa seja insuficiente .

–         Tópico 3: dos 6-10 min as células musculares recorrem a vias anaeróbias para a obtenção de energia – Fermentação lática, na qual se forma ácido lático,  que se dissocia em lactato conduzindo  ao aumento da lactacidemia.

2. Uma das variáveis independentes deste trabalho investigativo é

(A)  a concentração de insulina no plasma.

(B)  a velocidade da passadeira rolante.

(C)  o peso dos cavalos.

(D)  a duração dos exercícios teste.

Resolução

Opção (B)

O objetivo deste estudo foi verificar as alterações na glicemia, insulinemia e lactacidemia de equinos da raça Puro Sangue Árabe, relacionadas ao exercício físico intenso em passadeira  rolante. Assim, a velocidade da passadeira rolante constitui uma variável independente, enquanto que a glicemia, insulinemia e lactacidemia constituem as variáveis dependentes.

 

3. Os resultados obtidos no estudo poderão ser válidos pois nesta experiência ______.

(A)  utilizaram-se cavalos com pesos muito semelhantes.

(B)  os cavalos realizaram exercícios com diferente duração.

(C)  a dieta fornecida aos machos e fêmeas era diferente.

(D)  os parâmetros avaliados foram diferentes nos diferentes cavalos.

Resolução

Opção (A)

Aquando da realização de uma atividade experimental  apenas deverão variar as condições relativas à variável independente, todas as restantes condições deverão manter-se iguais entre o grupo controlo e experimental.

 

4. De acordo com os resultados expressos no gráfico da figura 4B é correto afirmar que, na fase de exercício, a concentração plasmática de insulina sofreu um ________.

(A)  aumento e que a insulinemia no final da fase de desaquecimento se sobrepõe a insulinemia inicial.

(B)  decréscimo e que a insulinemia no final da fase de desaquecimento se sobrepõe a insulinemia inicial.

(C)  decréscimo, atingindo valores inferiores ao da insulinemia no final da fase de desaquecimento.

(D)  aumento, atingindo valores superiores ao da insulinemia no final da fase de desaquecimento.

Resolução

Opção (C)

Pela análise do gráfico da figura 4 B é possível constatar que o valores de insulinémia na fase de exercício sofre um decréscimo aproximadamente de+/- 78 – início da fase de aquecimento para +/-30- final da fase de exercício, sendo que este último valor é inferior ao valor no final da fase de desaquecimento +/- 65.

 

5. Os resultados expressos no gráfico da figura 5 permitem inferir que, entre os 4 e os 15 minutos, o aumento da concentração de lactato se deveu à insuficiente taxa de oxigénio ao nível

(A)  da mitocôndria, impedindo a oxidação parcial da glicose.

(B)  no hialoplasma, impedindo a oxidação total da glicose.

(C)  da mitocôndria, impedindo a oxidação total da glicose.

(D)  no hialoplasma, impedindo a oxidação parcial da glicose.

Resolução

Opção (C)

Numa situação de exercíco físico intenso é necessário um maior suprimento de oxigénio às células. O lactato resulta da dissociação do acido lático. O ácido lático resulta de um processo anaeróbio de produção de energia. Assim o aumento da concentração de lactato evidencia uma redução dos mecanismos aeróbios de produção de energia, indicando que o oxigénio disponível na mitocôndria é insuficiente para a produção de energia pela respiração aeróbia.  Nota que: todo o processo fermentativo ocorre no hialoplasma enquanto que a respiração aeróbia inclui uma etapa no hialoplasma e três etapas na mitocôndria.

 

6. Os resultados presentes no gráfico da figura 4 A indicam que nas primeiras etapas dos exercícios teste, a concentração de glicose no plasma sanguíneo

(A)  diminui, em virtude da sua mobilização anabólica pela musculatura esquelética.

(B)  aumenta, em virtude da sua mobilização anabólica pela musculatura esquelética.

(C)  aumenta, em virtude da sua mobilização catabólica pela musculatura esquelética.

(D)  diminui, em virtude da sua mobilização catabólica pela musculatura esquelética.

Resolução

Opção (D)

Numa situação de exercício físico as necessidades energéticas das células  musculares esqueléticas aumentam, assim, tendo em vista a produção de energia a molécula de glicose deverá ser oxidada/degradada. Todos os processos de degradação correspondem a processos catabólicos, enquanto que os processos de síntese são anabólicos.

 

7. No cavalo, tal como nos restantes mamíferos a circulação sanguínea é _________ o que leva a uma _______  oxigenação das células.

(A)  dupla completa …… elevada

(B)  dupla incompleta…… reduzida

(C)  dupla completa …… reduzida

(D)  dupla incompleta…… elevada

Resolução

Opção (A)

Os mamíferos apresentam uma circulação dupla e completa, em que a existência de quatro cavidades cardíacas impede a mistura de sangue venoso e arterial garantindo uma eficiente irrigação dos tecidos e oxigenação das células.

 

8. No cavalo, em condições fisiológicas normais, a linfa intersticial ______.

(A) impede a troca de substâncias entre o sangue e as células.

(B) é um fluido extracelular que não retorna ao sistema sanguíneo.

(C) provém dos vasos linfáticos que contactam diretamente com as células.

(D) estabelece a ligação permanente entre os fluídos circulantes.

Resolução

Opção (D)

Nos animais em que o sistema circulatório é fechado o sangue em condições normais não abandona os vasos sanguíneos. No entanto, continuamente 1% do plasma e alguns leucócitos abandonam os capilares sanguíneos constituindo a linfa intersticial que funciona como intermediário entre o sangue e as células. À medida que a quantidade de linfa intersticial vai aumentando esta passa a ser drenadas para os capilares linfáticos constituindo a linfa circulante. Os capilares linfáticos reúnem-se em veias linfáticas que desenbocam na veia cava superior. Assim a linfa forma-se a partir do sangue e em última instância volta ao sistema sanguíneo.

 

9. O sangue no cavalo é bombeado para os capilares dos diferentes órgão. Ao nível dos capilares a __________ velocidade e pressão favorecem a eficácia das trocas de materiais com o fluido ______.

(A)  elevada ……. intersticial

(B)  elevada ……. circulante

(C)  baixa….. intersticial

(D)  baixa….. circulante

Resolução

Opção (C)

É ao nível dos capilares sanguíneos que se efetuam as trocas entre o sangue e a linfa intersticial, assim de modo a garantir que as trocas entre o sangue e a linfa intersticial são eficientes de modo a garantir um eficaz suprimento de oxigénio e nutrientes às células, ao nível dos capilares sanguíneos o sangue deverá circular a baixa velocidade. Como os capilares sanguíneos apresentam um reduzido calibre, oferecem grande resistência à passagem do fluxo sanguíneo conduzindo à redução da velocidade e pressão.

 

10. Ordene as letras de A a E, de modo a sequenciar os acontecimentos referentes à circulação sanguínea no cavalo. Inicie a sequência pela letra A.

(A)    Sangue venoso na aurícula direita.

(B)    Maior gradiente de concentração de oxigénio entre sangue e tecidos.

(C)    Sangue arterial com pressão máxima.

(D)    Sangue gradualmente enriquecido em oxigénio ao nível dos pulmões.

(E)    Sangue arterial em circulação nas veias.

Resolução

A- D- E- C-B

O cavalo sendo mamífero apresenta uma circulação sanguínea dupla e completa, apresentando dois circuitos o pulmonar e o sistémico. Na circulação pulmonar o sangue venoso passa da aurícula direita para o ventriculo direito – A, abandonando o coração pelas artérias pulmonares, chega aos pulmões onde ocorre a hematose pulmonar e o sangue fica gradualmente enriquecido em oxigénio, transformando-se em sangue arterial  – D. Abandona os pulmões e regressa ao coração pelas veias pulmonares – E, sendo lançado na aurícula esquerda, passando desta para o ventrículo esquerdo e deste para a artéria aorta, onde atinge o valor máximo de pressão – C, dirige-se então para os tecidos – B, onde ocorre a hematose celular, regressando posteriormente à aurícula direita pelas veias cavas.

 

11. Faça corresponder cada uma das afirmações expressas na coluna A a respetiva designação, que consta na coluna B.

Utilize cada letra e cada número apenas uma vez.

Coluna A Coluna B
a)     O fluído circulante abandona os vasos, contactando diretamente com as células do corpo.

b)    Impedem o retrocesso do sangue às aurículas.

c)    Circulação em que não se verifica a mistura de sangue arterial com sangue venoso, ao nível do órgão propulsor.

d)     Circulação, em que o sangue que passa pelo coração é exclusivamente sangue venoso.

e)    Tipo de circulação dos anfíbios

(1)         Válvulas auriculoventriculares

(2)         Circulação incompleta

(3)         Sistema Circulatório fechado

(4)         Circulação completa

(5)         Válvulas semilunares

(6)         Sistema Circulatório aberto

(7)         Válvulas venosas

(8)         Circulação Simples

 

Resolução

a) 6; b) 1; c) 4; d) 8; e) 2

[1] Cotilédones- Estruturas onde se encontram as substâncias de reserva que acompanham o embrião.

Deixe um comentário

O seu endereço de email não será publicado. Campos obrigatórios marcados com *

Scroll to Top
× Como podemos ajudar?