Voltar a: Matemática A
- Prova Escrita de Matemática A – Versão 1
- Prova: Teste Intermédio – 12ºAno – 2009
- Duração do Teste: 90 minutos | 27.05.2009
Critérios
—————————————————————————————————————————————————————————————————————————————————
- Opção (A) ——— 10 pontos
Critérios
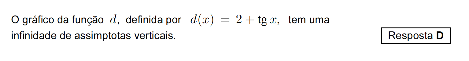
- Opção (D) ——— 10 pontos
Critérios
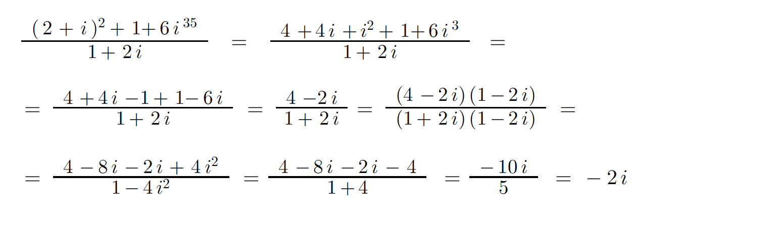
- Opção (B) ——— 10 pontos
Critérios
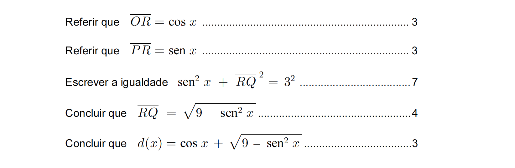
- Opção (B) ——— 10 pontos
Critérios
- Opção (B) ——— 10 pontos




































