Voltar a: Biologia – 10ºAno
Ficha n.º 2 – EFEITO DA ADIÇÃO DE PROBIÓTICOS SOBRE AS CARACTERÍSTICAS DE QUEIJO PRATO COM REDUZIDO TEOR DE GORDURA
No setor lácteo, os alimentos funcionais já são uma realidade e muitas empresas de alimentos desenvolvem os seus produtos tendo a promoção da saúde como principal objetivo. Os probióticos são descritos como culturas de uma única espécie ou de várias espécies de microrganismos, que quando utilizadas por animais ou pelo homem, trazem benefícios à saúde, promovendo melhora nas características da microflora intestinal natural. Os produtos com probióticos representam um forte nicho entre os alimentos funcionais, e muitas pesquisas são desenvolvidas com o objetivo de incorporar estes organismos aos alimentos. Os probióticos mais comumente estudados e utilizados como suplemento em alimentos pertencem aos géneros Lactobacillus e Bifidobacterium. Um produto para ser considerado alimento com probiótico deve apresentar contagem de probióticos maior ou igual a 1 x 107 células viáveis/g ou mL do produto. Estudos mostraram que o baixo pH dos leites fermentados pode ser inadequado para a sobrevivência de certas espécies de bactérias probióticas, e sugerem o queijo como veículo mais adequado para estas bactérias.
O queijo, além de possuir maior pH que os leites fermentados, possui também uma matriz sólida, a qual pode proteger essas bactérias com maior eficiência que o ambiente fluido do leite, durante o período de armazenamento e também durante o trânsito no organismo humano. Este trabalho teve como objetivo acompanhar o efeito da adição de cultura bacteriana probiótica, constituída de Lactobacillus rhaminosus, em queijo prato fabricado com fibras e com substituição de cloreto de sódio por lactato de potássio, durante o período de 90 dias de armazenamento, a 6 °C.
Material e métodos:
- Foram fabricados dois tipos de queijo sendo um considerado teste e outro padrão. Em ambos foi utilizado leite pasteurizado a 75 °C durante 15 segundos com 1,3% de gordura.
- O primeiro a ser fabricado foi o queijo teste e os ingredientes foram adicionados no tanque de aço inox da seguinte maneira: 150 litros de leite, 60 mL de solução de cloreto de cálcio a 40% , 6 mL de corante de urucum, 450 g de concentrado protéico de leite, 1,7 g de coagulante quimosina produzido por fermentação a partir do fungo Aspergillus niger, 300 g de inulina, e a um dos queijos foi adicionado 6,25 U de cultura probiótica Lactobacillus rhamnosus (Rhodia).
- Não foi utilizada a cultura láctica na fabricação dos queijos, pois o objetivo foi acompanhar o que aconteceria a um queijo no qual fosse adicionada cultura probiótica, sendo esse também o motivo do armazenamento durante 90 dias.
- Foi caracterizado o leite empregado na elaboração do queijo teste, pela equipe do laboratório da empresa, 30 minutos antes do início da fabricação, em relação a acidez Dornic, pH, crioscopia, densidade, proteína, gordura, extrato seco total e bactérias ácido lácticas. Caracterizou-se também o leite empregado na fabricação do queijo padrão após 5 horas a 20 °C, antes de ser colocado no tanque.
- As análises microbiológicas e físico-químicas nos queijos foram realizadas antes dos mesmos serem embalados a vácuo (logo depois de elaborados) e no 15, 30, 45, 60, 75 e 90o dia de armazenamento.
Resultados:
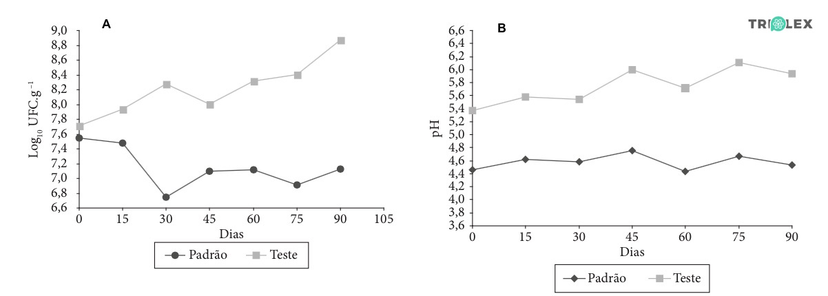
Figura 1 – Resultados preliminares do desenvolvimento das colónias de bactérias ácido lácticas – A e de pH – B, em queijo prato padrão e teste, antes de ser embalado a vácuo e durante 90 dias de armazenamento, a 6 °C (±1) e UR 85%.
Figura 2 – Resultados preliminares de lactose – A e ácido lático – B, nos queijos padrão e teste, antes de serem embalados a vácuo e durante 90 dias de armazenamento, a 6 °C (±1) e UR 85%.
1. A intolerância a lactose resulta do consumo de determinados produtos lácteos e caracteriza-se por desconforto, com inchaço abdominal, flatulência, cólicas, náuseas ou diarreia, que, geralmente começam 30 minutos a duas horas após a sua ingestão. Estudos mostraram que o consumo de queijos maturados, como o queijo prato podem ser tolerados por alguns pacientes intolerantes à lactose.
Explique a possibilidade do consumo dos queijos analisados no estudo descrito, pelos indivíduos intolerantes à lactose, tendo por base as características da doença e os resultados obtidos.
Tópico 1: referência a que a intolerância resulta da incapacidade de produzir a enzima responsável pela digestão (hidrólise) da lactose a glicose e galactose. Tópico 2: referência à redução do teores de lactose durante o período de armazenamento, mais precisamente redução de 3,5 para 0 ao fim de 90 dias no caso do queijo teste e redução de 4,4 para o,5 ao fim de 70 dias queijo padrão. Tópico 3 : referência à relação entre o reduzido teor de latose nos queijos analisados e a possibilidade de ingestão dos mesmos por indivíduos intolerantes à lactose.
2. O processo de fermentação a que o estudo se refere é levado por organismos ______ cujo crescimento _____ pelo pH do meio.
(A) procariontes …… influência e é influênciado
(B) procariontes …… influência mas não é influenciado
(C) eucariontes …… influência e é influênciado
(D) eucariontes …… influência mas não é influenciado
3. O grupo controlo desta experiência corresponde ao queijo em cujo processo de fabrico_____.
(A) não foi adicionado qualquer cultura bacteriana.
(B) foi adicionada uma cultura de bactérias ácido láticas e uma cultura probiótica.
(C) foi adicionada apenas uma cultura de bactérias ácido-láticas.
(D) foi adicionada apenas uma cultura probiótica.
4. No estudo apresentado, a variável independente é ________.
(A) a concentração de lactose.
(B) a concentração de ácido lático.
(C) número de colónias ácido láticas.
(D) a adição da cultura probiótica.
5. De acordo com os resultados obtidos é possível concluir que no queijo que constitui o grupo experimental, nos primeiros quinze dias após o embalamento o teor de ácido lático ________, o que se traduziu ______ do pH.
(A) diminuiu…… num aumento
(B) diminuiu ….. numa diminuição
(C) aumentou …… numa diminuição
(D) aumentou …… aumento
6. Aspergillus niger é um organismo ______que quanto ao modo de nutrição é classificado como______.
(A) eucarionte ………. autotróficos
(B) eucarionte ……… heterotróficos por absorção
(C) procarionte ………. autotróficos
(D) procarionte ………. heterotróficos por absorção
7. Nas bactérias ácido-láticas a produção de moléculas de ATP em vias metabólicas de baixo rendimento energético requer a oxidação de moléculas de _______.
(A) glicose, com produção de ácido lático.
(B) lactato na mitocôndria.
(C) piruvato no citoplasma.
(D) NADH, com produção de H2O.
Opção A As bactérias ácido-láticas realizam a fermentação lática na qual efetuam a oxidação da molécula de glicose, formando ATP e ácido lático.
8. No homem a digestão do queijo ocorre num tubo digestivo _______ em que a digestão é _______.
(A) completo ……. extracelular e intracelular.
(B) completo ….. exclusivamente extracelular.
(C) incompleto ……. extracelular e intracelular.
(D) incompleto ……. exclusivamente extracelular.
9. As células de Lactobacillus rhaminosus e Aspergillus niger apresentam _______.
(A) núcleo e mitocôndrias
(B) mitocôndrias e ribossomas
(C) ribossomas e membrana plasmática
(D) membrana plasmática e núcleo.
10. A lactose é um composto _______ pertencente aos ________.
(A) ternário ……. lípidos
(B) ternário ……. glícidos
(C) quaternário …..lípidos
(D) quaternário ….. glícidos
- Opção B
- A lactose é um dissacarídeo pertencente aos glícidos constituido por glicose e galactose. Os glícidos são compostos ternários pois da sua composição fazem parte o oxigénio, o hidrogénio e o azoto.
11. Ordene as letras de A a F, de modo a reconstituir a sequência cronológica dos acontecimentos relacionados com a produção de ácido lático a partir da fermentação do leite.
A. Formação de moléculas de ácido pirúvico.
B. Produção de ácido lático.
C. Hidrólise de dissacarídeos.
D. Fosforilação do ADP na fase de rendimento.
E. Fosforilação da glicose.
F. Oxidação do NADH
- C- E- D- A- F- B
- Para que a lactose seja usada no processo fermentativo, deverá inicialmente se hidrolisada em glicose e galactose – C. A etapa de glicólise inicia-se com a fosforialaçao da glicose na fase de ativação -E, originando-se duas trioses. As trioses sofrem oxidação e os eletrões resultantes reduzem o NAD+ a NADH, seguida da fosforilação do ADP a ATP – D, formando-se duas moléculas de ácido pirúvico – A. Na segunda etapa – redução do piruvato – o NADH sofre oxidação – F e os eletrões resultantes reduzem o piruvato formando-se ácido lático- B.
12. Faça corresponder a cada uma das afirmações da coluna A o respetivo termo que lhe corresponde expresso na coluna B.
|
Coluna A |
Coluna B |
|
A. Ocorrem descarboxilações. B. Consome oxigénio. C. Implica a redução do ácido pirúvico. |
1. Fermentação lática 2. Fermentação alcoólica 3. Fermentação acética 4. Fermentação butírica 5. Todos os tipos fermementativos 6. Em nenhum processo fermentativo. |
A. 2;
B. 6;
C. 5



