Ficha n.º 7 – Potencial Hídrico Foliar de Espécies Constituintes de Sistema Agroflorestal sob Diferentes Períodos de Precipitação na Amazonia Central 


 

Os processos fisiológicos e metabólicos das plantas são influenciados pela disponibilidade hídrica do solo, afetando fortemente o crescimento e a produtividade das espécies. A disponibilidade de água afeta o crescimento das plantas por controlar a abertura dos estomas, com isso havendo comprometimento no acúmulo de fotoassimilados, o que implica redução da produtividade. O conhecimento de como as plantas utilizam a água do solo e de como respondem aos níveis de armazenamento a partir do balanço hídrico, pode ser uma saída viável para o estabelecimento de estratégias eficazes de manuseamento, visando o melhor uso possível das reservas de água do solo pelas culturas.

Os valores de potencial hídrico foliar no período antemanhã correspondem aproximadamente ao potencial hídrico do solo uma vez que durante a noite o potencial hídrico da planta tende a se equilibrar com o potencial hídrico das zonas húmidas do solo.

 

Nesse sentido, o objetivo deste estudo foi caracterizar o potencial hídrico foliar de espécies constituintes de um sistema agroflorestal em resposta a variação anual da precipitação na região de Manaus.

 

Material e métodos

  • O estudo da avaliação do potencial hídrico teve como alvo espécies frutíferas e florestais da Amazónia Central como: Cupuaçu (Theobroma grandiflorum); Guaraná (Paullinia cupana); Ingá (Inga edulis); Pimenta-do-reino (Piper nigrum) e Mogno (Swietenia macrophylla).
  • O potencial hídrico foliar (Ψw) foi determinado no campo no período da antemanhã (5 h) e ao meio dia (12 h) utilizando a bomba de pressão tipo Scholander.
  • Como o estudo foi realizado em espécies com diferentes hábitos de crescimento, o potencial hídrico foi determinado em folhas completamente expandidas situadas na parte externa da copa.
  • Para a análise do ritmo circadiano, o potencial hídrico foliar durante o dia, foi avaliado em horários distintos (5, 8, 10, 12, 14 e 16h). Os dados foram coletados nos anos de 2004 e 2005.

 

Resultados

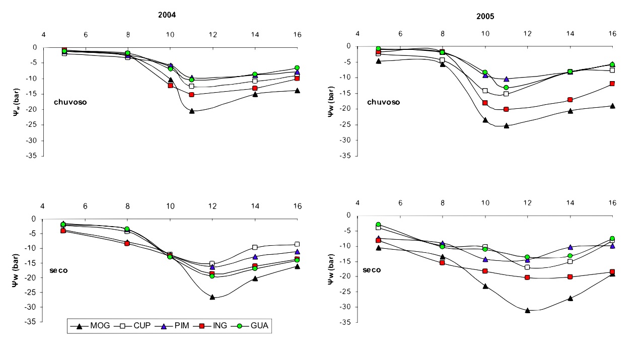
Figura 1 – Potencial hídrico de espécies tropicais (MOG: Mogno; CUP: Cupuaçu; PIM: Pimenta-do-reino; ING: Ingá e GUA: Guaraná) em sistema agroflorestal em horários (05:00 e 12:00) e períodos distintos de precipitação (chuvoso e seco) na região de Manaus durante os anos de 2004 e 2005.

 

 

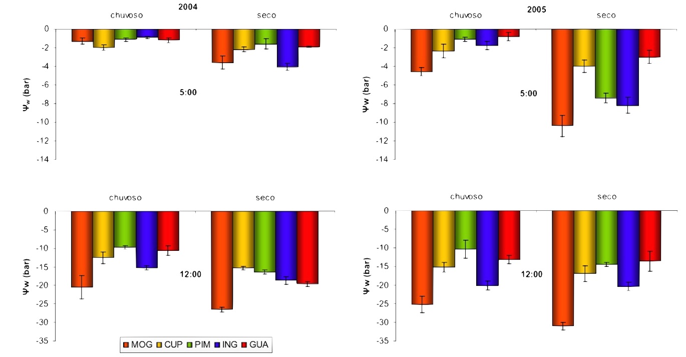
Figura 2 –  Ritmo circadiano do potencial hídrico de espécies tropicais (MOG: Mogno; CUP: Cupuaçu; PIM: Pimenta-do-reino; ING: Ingá e GUA: Guaraná) em sistema agroflorestal em horários e períodos distintos de precipitação na região de Manaus, durante os anos de 2004 e 2005.

 

adaptado de : Potencial Hídrico Foliar de Espécies Constituintes de Sistema Agroflorestal sob Diferentes Períodos de Precipitação na Amazônia Central Ronaldo Ribeiro de Morais, José Francisco de Carvalho Gonçalves, Glaudecy de Oliveira Ribeiro, Franciléia Costa Campos e Renata Braga Souza Lima

1. Colocou-se a possibilidade de a estação seca de 2005 apresentar um  índice de precipitação inferior ao registado na estação seca de 2004. Explique em que medidas os resultados relativos aos valores de potencial hídrico foliar permitem corroborar essa hipótese.

Resolução

  • Tópico 1 :  referência a que os valores de potencial hídrico foliar no período antemanhã correspondem aproximadamente ao potencial hídrico do solo uma vez que durante a noite o potencial hídrico da planta tende a se equilibrar com o potencial hídrico das zonas húmidas do solo.
  • Tópico 2: referência a que observando-se os valores do  potencial hídrico foliar das espécies no período seco, é possível concluir que, de um modo geral, em 2005 os valores foram inferiores aos registados em 2004.
  • Tópico 3: referência a os valores inferiores do potencial hídrico, sugerem uma  menor disponibilidade hídrica no solo, e assim menores valores de precipitação.

2. No estudo experimental descrito,   _____________constitui uma   variável dependente.

(A) a espécie em estudo.

(B) o ano de realização do estudo.

(C) potencial hidríco foliar.

(D) variação anual da precipitação.

Resolução

  • Opção C

O objetivo deste estudo foi caracterizar o potencial hídrico foliar de espécies constituintes de um sistema agroflorestal em resposta a variação anual da precipitação na região de Manaus. Assim, as espécies em estudo e o ano de realização do estudo  constituem variáveis independente

3.  O potencial hídrico foliar registado às 5h da manhã das espécies em estudo é sempre __________ ao potencial hídrico foliar registado às 13h , permitindo inferir uma maior ______.

(A) superior ……….. turgescência das células do mesófilo foliar

(B) superior ……….. turgescência das células guarda.

(C) inferior ………..turgescência das células do mesófilo foliar

(D) inferior ……….. turgescência das células guarda.

Resolução

  • Opção A

A análise dos gráficos permite concluir que os valores de potencial hídrico às 13 h são sempre mais negativos do que às 5h. Como baixos valores de potencial hídrico estão associados a uma menor disponibilidade hídrica  é possível concluir que o potencial hídrico às cinco da manhã é sempre superior (menos negativo) do que às 13 h da tarde (mais negativo).

Como às 5h da manhã há uma menor perda de água por transpiração, as células guarda estão plasmolisadas (estoma fechado) e as células do mesófilo estão túrgidas.

 

4. O aumento  da humidade atmosférica no período chuvoso determina a existência de uma película de vapor de água _____ espessa à superfície da folha, conduzindo a uma ______ perda de água por transpiração.

(A) menos …….. maior

(B) menos ……. menor

(C) mais ……..  maior

(D) mais …… menor

Resolução

  • Opção D

Num período de elevada humidade atmosférica (dia de chuva, por exemplo) existe uma película espessa de vapor de água em torno das folhas, logo diminui a transpiração foliar.

Nota: quando o ambiente está seco, a película de vapor de água em torno das folhas é menos espessa e as plantas tendem a perder mais água por transpiração.

5. No estudo experimental descrito, é previsível que se registe  um aumento da ______ ao nível do xilema com _______da humidade do ar, provocando uma subida da coluna hídrica neste tecido.

(A) tensão ……. o aumento

(B) tensão ……. a diminuição

(C) coesão ……. o aumento

(D) coesão ……. a diminuição

Resolução

  • Opção B

Sempre que a humidade atmosférica diminui,  aumenta a transpiração foliar, aumentando a tensão no xilema e consequentemente a velocidade de ascensão da seiva xilémica.

6. De acordo com os resultados expressos nos gráficos da figura 1,  na estação seca de  2005, verificou-se____.

(A) o aumento da turgescência  das células da folha.

(B) a diminuição da turgescência das células guarda.

(C) o aumento da perda de água por transpiração.

(D) a diminuição da velocidade de ascensão de água no xilema.

Resolução

  • Opção C

Na estação seca de 2005 o potencial hídrico da folha é muito negativo indicando uma reduzida disponibilidade de água resultante da excessiva perda de água por transpiração.

Nota que: quando ocorre uma intensa perda de água por transpiração as células guarda estão túrgidas e as células do mesófilo foliar plasmolisadas. Quanto maior for a perda de água por transpiração maior a velocidade de ascensão da seiva xilémica.

7. No sentido de minimizar as perdas de água por transpiração, será de esperar que as plantas analisadas neste estudo ________ , _________ a pressão de osmótica nas células-guarda .

(A) promovam o transporte ativo de iões K+ para as células estomáticas ……… diminuindo

(B) promovam o transporte ativo dos iões K+ para as células estomáticas …….. aumentando

(C) promovam a difusão dos iões K+ para as células subsidiárias ……… diminuindo

(D) promovam a difusão  dos iões K+ para as células subsidiárias …….. aumentando

Resolução

  • Opção C

Para diminuir as perdas de água por transpiração os estomas deverão fechar. Para que ocorra o fecho dos estomas, ocorre a saída dos iões K+  por difusão das células guarda para as células  vizinhas ou subsidiárias, a pressão osmótica nas células guarda diminui e aumenta nas células vizinhas ou subsidiárias, gera-se um gradiente osmótico favorável à saída de água das células guarda que assim plasmolisam e o estoma fecha.

Nota que: a entrada dos iões K+ para as células estomáticas induz à abertura dos estomas, a saída dos iões K+ das células estomáticas induz ao fecho dos estomas.

8. Comparando-se os horários distintos, observou-se que no horário de antemanhã no período chuvoso do ano de 2004 as espécies analisadas______ diferenças entre si em relação ao potencial hídrico, já no ano de 2005, ______ apresentou os menores valores de Ψw.

(A) apresentaram ……. S. macrophylla

(B) apresentaram………Paullinia cupana

(C) não apresentaram……..S. macrophylla

(D) não apresentaram ………Paullinia cupana

Resolução

  • Opção C

No horário da antemanhã do periodo chuvoso de 2004, os valores de potencial hídrico são muito semelhantes para todas as espécies analisadas. No ano de 2005 a espécie S. macrophylla é a que os menores valores de potencial hídrico (valores mais negativos).

9.  De acordo com os resultados expressos a figura 2 será de esperar que no período de compreendido entre as 8h e as 11h ocorra  ______ do emurchecimento das folhas , como resultado da diminuição da pressão ______.

(A) a diminuição………osmótica

(B)  a diminuição……. de turgescência.

(C)  o aumento  …….. osmótica

(D) o aumento  …….. de turgescência.

Resolução

  • Opção  D

Entre as 8h e as 12 h o potencial hídrico diminui evidenciando a perda de água por transpiração o que conduz ao emurchecimento das folhas. A perda de água pelas células do mesófilo conduz à diminuição da pressão de turgescência nessas mesmas células.

10. A abertura dos estomas conduz à perda de água por ______, conduzindo _________ da pressão osmótica nas células do mesófilo foliar.

(A) transpiração ……… aumento

(B) transpiração …….. diminuição

(C) gutação ……… aumento

(D) gutação …….. diminuição

Resolução

  • Opção A

A abertura dos estomas conduz à perda de água por transpiração, aumentando a pressão osmótica no mesófilo.

11. Foram feitas as seguintes afirmações relativas ao mecanismo de abertura e fecho dos estomas. Selecione a opção que os avalie corretamente.

  1. A taxa fotossintética não é um fator que condiciona a abertura estomática.
  2. Em condições de stress hidríco é produzido ácido abscísico que induz ao fecho dos estomas.
  3. Quanto menor  a humidade atmosférica, maior será a taxa de fecho dos estomas, independentemente da quantidade de água no solo.

(A) 1 e 2 são verdadeiras; 3 é falsa.

(B) 1 e 3 são verdadeiras; 2 é falsa.

(C) 1 é verdadeira; 2 e 3 são falsas.

(D) 2 é verdadeira; 1 e 3 são falsas.

Resolução

  • Opção D

1. F- A taxa fotossintética influência a abertura estomática, sempre que aumenta a taxa fotossintética a concentração do CO2 no mesófilo diminui estimulando a abertura dos estomas.

⇒  2. V- Em situação de stress hídrico é produzido ABA que induz ao fecho dos estomas.

3. F. Quando a humidade atmosférica é baixa (ambiente seco) ocorre a abertura dos estomas aumentando a transpiração foliar.

12. Ordene as letras de A a F de modo a reconstituir, segundo uma relação de causa-efeito a sequência de fenómenos associados à produção e acumulação de substâncias orgânicas das plantas deste estudo.

A. Formação de um polissacarídeo  nos órgãos de reserva.

B. Abertura dos estomas.

C. Síntese de moléculas de glicose , a partir de carbono inorgânico.

D. Aumento da pressão de turgescência nos tubos crivosos.

E. Saída da sacarose do floema.

F. Absorção de dióxido de carbono.

Resolução

  • B- F- C- D- E- A

A produção de compostos orgânicos é realizada através do processo fotossintético. Assim, num primeiro momento ocorre a abertura dos estomas – B para que a planta absorva o dióxido de carbono – F. De seguida, o CO2 é fixado no ciclo de Calvin permitindo a produção de glicose – C. A glicose é convertida em sacarose. A sacarose entra nas células dos tubos crivosos, aumentando a pressão osmótica nos tubos crivosos, gerando assim um gradiente osmótico favorável à entrada da água nos tubos crivosos, o que aumenta a pressão de turgescência nos tubos crivosos – D. A sacarose é transportada pelo floema desde os órgãos de produção até aos órgãos de consumo/armazenamento. Ao nível destes órgãos a sacarose sai dos tubos crivosos para as células dos órgãos de consumo – E, podendo ser polimerizada em amido – A ou convertida em glicose para ser usada no processo de respiração aeróbia.

13. Faça corresponder a cada um dos fenómenos a que se referem as afirmações da coluna A, o respetivo termo que lhe corresponde expresso na coluna B.

Coluna A Coluna B

(A) Translocação de água e compostos orgânicos dos locais de maior pressão de turgescência para os locais de menor pressão de turgescência.

(B) Manutenção de uma coluna continua de água devido a forças de coesão e adesão.

(C) Órgãos de arejamento encontrados nos caules de espécies que vivem em solos alagados.

1. Transpiração foliar 

 

2. Gutação 

3. Circulação xilémica

4. Circulação floémica

5. Hidátodos

6. Estomas 

7. Lenticelas 

Resolução

  • (A)4
  • (B) 3
  • (C)7

Deixe um comentário

O seu endereço de email não será publicado. Campos obrigatórios marcados com *

Scroll to Top
× Como podemos ajudar?