Voltar a: 11ºAno – Física
- Ficha nº6
⇒ Refração da luz ;
⇒ Reflexão total ;
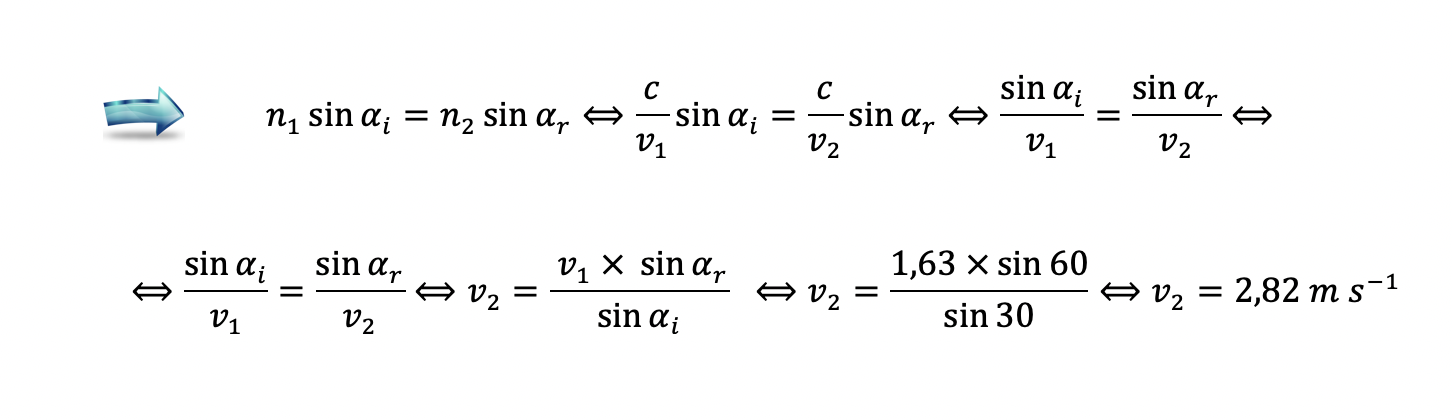
1. A figura ilustra a passagem das ondas planas na superfície da água da parte mais profunda de um tanque para outra mais rasa.
A velocidade de propagação das ondas no meio 1 é 1,63 m s-1.
Qual será a velocidade de propagação no meio 2?
(A) 1,63 m s-1
(B) 0,58 m s-1
(C) 1,02 m s-1
(D) 2,82 m s-1
adaptado de: http://www.fisicafacil.pro.br/unifor/Sunifor6.html
2. Qual dos gráficos seguintes traduz os valores da velocidade de propagação de uma radiação monocromática em função do índice de refração, num determinado meio?
- Opção (D)
3. Uma luz monocromática propaga-se na glicerina cujo índice de refração é 1,90. Considere nar = 1,00.
Determina:
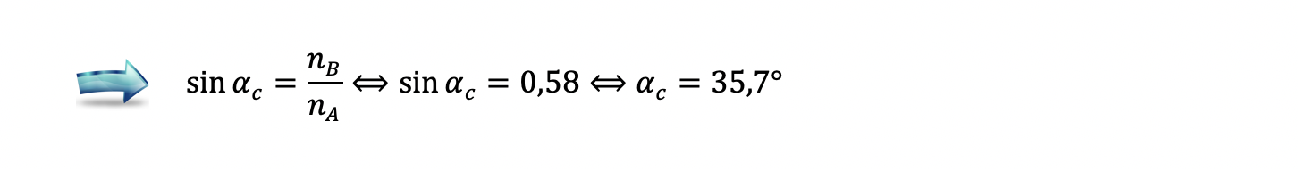
3.1 a velocidade de propagação da luz na glicerina;
3.2 o ângulo de incidência máximo da luz na superfície glicerina-ar para que não haja reflexão total.
4. Um feixe laser incide numa lâmina de faces paralelas, de um material transparente (índice de refração, n), segundo um ângulo de incidência α1.
4.1 Mostra que α1 = α3, sendo, portanto, o feixe, à saída da lâmina de faces paralelas, paralelo ao feixe incidente.
4.2 Quando α1 = 55° é α2 = 35°.
4.2.1 Calcula a distância entre os pontos R e S.
4.2.2 Determina o valor do índice de refração, n , do material da lâmina.
4.2.3 Calcula o desvio, dA, sofrido pelo raio incidente ao atravessar a lâmina.
5. Um raio de luz propaga-se no meio A com velocidade c = 2,4 x 108 m s-1 e com um ângulo de 60º em relação à normal de um líquido.
Ao passar para o líquido, o ângulo altera para 30º.
Determina o índice de refração do líquido.
6. Uma luz monocromática propaga-se na água, onde a velocidade de propagação é 2/3 da velocidade de propagação no ar.
Para que ângulos de incidência na superfície água-ar a luz não passa para o ar?
7. Muitos materiais têm índices de refração cujo valor depende da frequência da radiação incidente.
Por exemplo, um vidro pode ter índice de refração 1,513 para a luz vermelha e índice de refração 1,526 para a luz azul.
Seleciona o esboço do gráfico que pode traduzir a variação do valor do índice de refração, num vidro, em função do comprimento de onda de várias radiações monocromáticas na região da luz visível.
- Opção (D)
8. Neil Armstrong foi o primeiro homem a caminhar na Lua («Um pequeno passo para o homem, um grande passo para a humanidade»).
A distância entre a Terra e a Lua é 3,92 x 108 m. Num futuro não muito longínquo, o homem caminhará em Marte, que dista 5,84 x 1010 m da Terra.
8.1 Calcula o tempo que a voz de Armstrong levaria a chegar à Terra por via das ondas de rádio.
8.2 Calcula o tempo mínimo para que uma mensagem de Marte chegue a Terra.
9. A figura ilustra um fenómeno ondulatório que se verifica quando uma onda eletromagnética atravessa uma superfície de separação de um meio para outro.
9.1 Identifica o fenómeno em causa e explique a sua origem.
9.2 Identifica qual das seguintes afirmações está correta.
(A) A onda refratada propaga-se com menor velocidade e menor comprimento de onda do que a onda incidente.
(B) A onda propaga-se no meio B com maior velocidade e maior comprimento de onda do que no meio A.
(C) A onda refratada propaga-se com velocidade superior à da onda incidente.
(D) O meio B é oticamente menos denso que o meio A.
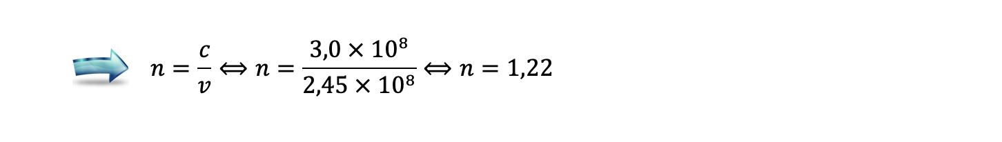
9.3 Sabendo que a onda eletromagnética em causa se propaga no meio B a 2,45 x 108 m s-1, determina o índice de refração nesse meio.
10. A figura representa um raio de luz monocromática a incidir num líquido contido numa piscina.
O fundo da piscina é espelhado, refletindo o raio luminoso sobre a parede lateral.
Determina o índice de refração do líquido em relação ao ar.
11. Um feixe de luz monocromática propaga-se no ar, incide na superfície da água de um tanque, originando dois novos feixes: um refletido e outro refratado.
A respeito dessa situação, pode afirmar-se que …
(A) … o ângulo de reflexão é menor do que o ângulo de refração.
(B) … o módulo da velocidade de propagação da luz refletida é menor do que o da luz refratada.
(C) … o comprimento de onda da luz refletida é igual ao da luz refratada.
(D) … o comprimento de onda da luz refletida é maior do que o da luz refratada.
- Opção (D)
12. O aluno A comunica por Código Morse com o aluno B, localizado do outro lado do pátio da escola, usando um espelho plano que reflete os raios de Luz solar.
12.1 Enuncia as Leis de Reflexão da Luz que se aplicam à reflexão da Luz no espelho.
12.2 Qual é a relação entre a frequência e o comprimento de onda da luz que chega ao espelho do aluno A e a que chega aos olhos do aluno B?
12.1 A 1ª Lei da Reflexão da Luz afirma que o raio incidente, a normal à superfície de separação no ponto de incidência e o raio refletido encontram-se no mesmo plano e a 2ª Lei da Reflexão da Luz afirma que o módulo do ângulo de incidência é igual ao módulo do ângulo de reflexão.
12.2 A frequência da radiação é a mesma e, como a luz que é refletida viaja sempre no mesmo meio, o comprimento de onda também é igual.
13. Um raio luminoso propagando-se no ar incide, com um ângulo de incidência de 35º em relação à normal da superfície, sobre uma superfície de vidro cujo índice de refração é maior do que o índice de refração do ar.
Seleciona a opção correta.
(A) A velocidade de propagação da luz não é alterada quando muda de meio, apenas a sua direção sofre alteração.
(B) A velocidade de propagação da luz é alterada quando muda de meio, mas a sua direção de propagação não é alterada.
(C) A velocidade de propagação da luz é maior no ar do que no vidro e a sua direção é alterada.
(D) A velocidade de propagação da luz é maior no vidro do que no ar e a sua direção é alterada.
- Opção (C)
14. Uma luz monocromática transmite-se de um meio A para um meio B como mostra a figura.
Indica, justificando, se a luz poderá sofrer reflexão total na superfície de separação A-B e, em caso afirmativo, para que ângulos de incidência ocorre esse fenómeno.
15. As condições para haver reflexão total da luz são:
(A) A onda luminosa incidir numa interface entre dois meios e ser proveniente de um meio de menor índice de refração.
(B) A onda luminosa incidir numa interface entre dois meios e ser proveniente de um meio de maior índice de refração.
(C) O ângulo de incidência ser igual ao ângulo limite.
(D) O ângulo de incidência ser menor do que o ângulo limite.
- Opção (B)
16. Considera a figura que ilustra a refração de um raio de luz.
16.1 Indica, justificando, qual o meio oticamente mais denso.
16.2 Calcula o índice de refração do meio B relativamente ao meio A.
16.3 Qual o valor da razão λA/λB?
17. Uma onda eletromagnética propaga-se de um meio 1 para um meio 2, aumentando o seu comprimento de onda de 6 m para 8 m.
17.1 Qual das opções completa a frase seguinte?
A velocidade de propagação da onda no meio 1 é … da velocidade de propagação da onda no meio 2, sendo o índice de refração no meio 1 … do índice de refração no meio 2.
17.2 Indica, justificando, se a onda poderá sofrer reflexão total na superfície de separação 1-2 e, em caso afirmativo, em que condições ela ocorre.
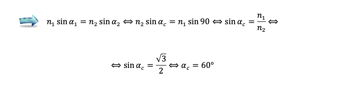
18. Considera dois meios, 1 e 2, de índices de refração √3 e 2, respetivamente. Os meios estão separados por uma superfície plana.
18.1 Refere, justificando, se para haver reflexão total a luz deve propagar-se do meio 1 para o meio 2 ou do meio 2 para o meio 1.
18.2 Determina o valor do ângulo crítico.
19. Um foco de luz colocado no fundo de uma piscina com uma profundidade de 4,1 m de água (nágua = 1,33) emite luz em todas as direções, criando à superfície da água uma área circular iluminada.
Explica porque é que apenas uma área restrita da superfície da água fica iluminada.
⇒ Nesta situação em que a luz se propaga de um meio oticamente mais denso para um meio oticamente menos denso, temos de considerar a possibilidade de ocorrência da reflexão total da luz.
⇒ O foco emite luz em todas as direções, mas alguns raios incidem na superfície que separa a água do ar com um ângulo de incidência superior ao ângulo critico e serão refletidos, log a área iluminada é limitada.






























