Voltar a: 11ºAno – Física
Ficha nº1
Exercícios de exames e testes intermédios (2006 – 2009)
11ºano – Física – Domínio 1 – Subdomínio 3 (Forças e movimentos)
1. (2006 – 1ªF) Um método utilizado, no início do século XX, para sinalizar a presença de barcos-farol quando havia nevoeiro, consistia no seguinte:
o barco-farol (A) emitia um sinal sonoro por uma sirene situada num ponto elevado do barco e, simultaneamente, outro sinal sonoro por um emissor (um gongo) situado debaixo de água. Ambos os sinais podiam ser detetados por outros barcos. Os tripulantes de um barco (B) que se encontrasse na vizinhança obtinham a distância ao barco-farol cronometrando o intervalo de tempo entre a chegada dos dois sinais sonoros (figura 2).
Suponha que a temperatura do ar é de 20 ºC e que a temperatura da água do mar é de 25 ºC.
Calcule, utilizando dados da tabela que considere apropriados, a distância entre os dois barcos se os dois sinais sonoros forem detetados pelo barco (B) com uma diferença de 9 s.
Despreze os efeitos dos ventos e das correntes marítimas na propagação do som.
Apresente todas as etapas de resolução.
Uma metodologia de resolução deve apresentar, no mínimo, as seguintes etapas de resolução, para ser considerada correta:
⇒ Utiliza as igualdades d = vágua tágua = var tar para obter uma expressão da distância entre os barcos, d, em função da diferença dos intervalos de tempo para os dois sinais sonoros atingirem o barco B.
⇒ Calcula a distância entre os dois barcos (d = 4 × 103 m).
Se a resposta apresentar ausência de metodologia de resolução ou metodologia de resolução incorreta, ainda que com um resultado final correto, a cotação a atribuir será zero pontos.
Erros de tipo 1 – erros de cálculo numérico, transcrição incorreta de dados, conversão incorreta de unidades ou ausência de unidades / unidades incorretas no resultado final.
Erros de tipo 2 – erros de cálculo analítico, erros na utilização de fórmulas e outros erros que não possam ser incluídos no tipo 1.
2.(2006 – 1ªF) Propôs-se a um grupo de alunos de uma Escola que criticassem e apresentassem sugestões sobre um projeto de uma pequena pista de treino para um desporto em que vários atletas se deslocam num trenó, ao longo de uma pista de gelo, procurando percorrê-la no mais curto intervalo de tempo possível.
A pista é constituída por três percursos retilíneos, com diferentes comprimentos e declives, e por um percurso circular, como mostra a figura 4. Suponha que a trajetória do trenó no percurso circular é horizontal, existindo uma parede vertical de gelo que o mantém nessa trajetória. Na figura 4, o percurso circular BCD é apresentado em perspetiva.
O trenó deverá atingir o ponto F com velocidade nula e em segurança. Consideram-se desprezáveis todos os atritos no percurso ABCDE, bem como a resistência do ar na totalidade do percurso.
A massa total, m, do sistema trenó + atletas é de 300 kg, e o trenó parte do repouso no ponto A.
2.1. Por questões de segurança, o módulo da aceleração do trenó não deverá ultrapassar no percurso AB o valor 0,80 g, sendo g o módulo da aceleração gravítica à superfície da Terra.
No seu relatório, os alunos concluíram que, efetivamente, esta exigência foi cumprida.
Verifique esta conclusão, partindo de um argumento energético. Apresente todas as etapas de resolução.
No percurso AB as forças que atua, são as indicadas no esquema.
O trabalho da reação normal, é nulo, pois esta força é perpendicular ao deslocamento AB.
- Opção 1:
⇒ O trabalho do peso é :
- Wp = m g AB cos (90º – 50º) = m g AB cos 40º = m g AB sin 50º
⇒ O trabalho da resultante das forças é :
- WF = m a AB
⇒ O dois trabalhos anteriores são iguais, logo:
- m g AB sin 50º = m a AB ⇔ g sin 50º = a ⇔ a = 0,77 g < 0,80 g
⇒ Como 0,77 g < 0,80 g, o percurso foi comprido em segurança.
- Opção 2:
⇒ A diminuição da energia potencial gravítica no percurso AB corresponde ao aumento da energia cinética:
- m g h = ½ m vB2 ⇔ vB2 = 2 g h
⇒ Aplicando a equação para um movimento uniformemente acelerado :
- v2 = v02 + 2 a (x – x0) ⇔ vB2 = 2 a AB
⇒ Igualando as duas equações
- 2 g h = 2 a AB ⇔ g sin 50º = a ⇔ a = 0,77 g < 0,80 g
⇒ Como 0,77 g < 0,80 g, o percurso foi comprido em segurança.
Uma metodologia de resolução deve apresentar, no mínimo, as seguintes etapas de resolução, para ser considerada correta:
⇒ Utiliza a expressão |∆Ep| = |∆Ec| entre os pontos A e B, para obter v2B = 80 g sin50º.
⇒ Utiliza a expressão da cinemática vB2 = 2 a LAB .
⇒ Igualando as expressões anteriores, obtém a = g sin50º = 0,77 g < 0,80 g
ou
⇒ Utiliza a expressão |∆Ep| = |∆Ec| entre os pontos A e B, para obter v2B = 80 g sin50º.
⇒ Utiliza a expressão WFres = ∆EC entre os pontos A e B, maLAB = mv2B, para obter vB2 = 2 a LAB .
⇒ Igualando as expressões anteriores, obtém a = g sin50º = 0,77 g < 0,80 g
Nota: Se o examinando obtiver o valor de a utilizando, apenas, a expressão a = g sin θ, atribuir a cotação de 3 pontos
Se a resposta apresentar ausência de metodologia de resolução ou metodologia de resolução incorreta, ainda que com um resultado final correto, a cotação a atribuir será zero pontos.
Erros de tipo 1 – erros de cálculo numérico, transcrição incorreta de dados, conversão incorreta de unidades ou ausência de unidades / unidades incorretas no resultado final.
Erros de tipo 2 – erros de cálculo analítico, erros na utilização de fórmulas e outros erros que não possam ser incluídos no tipo 1.
2.2. O módulo da velocidade, v, do trenó no ponto C é de 24,8 m s-1.
O módulo da força centrípeta que atua no sistema no ponto C é Fc = mv2/r , sendo r o raio da trajetória circular.
Calcule a aceleração do sistema trenó + atletas no ponto C, indicando o módulo, a direção e o sentido.
Apresente todas as etapas de resolução.
⇒ O raio da trajetória circular é metade do diâmetro:
- r = 50/2= 25 m.
⇒ O valor da aceleração será:
- a = F/m = v2/r =24,82/25 = 24,6 m s–2.
A aceleração tem direção radial, com sentido dirigido para o centro da trajetória circular.
Uma metodologia de resolução deve apresentar, no mínimo, as seguintes etapas de resolução, para ser considerada correta:
⇒ Utiliza ac = v2 /r, para calcular o módulo da aceleração do sistema (ac = 24,6 ms–2).
⇒A direção da aceleração é radial; o sentido aponta para o centro da trajetória circular.
Se a resposta apresentar ausência de metodologia de resolução ou metodologia de resolução incorreta, ainda que com um resultado final correto, a cotação a atribuir será zero pontos.
Erros de tipo 1 – erros de cálculo numérico, transcrição incorreta de dados, conversão incorreta de unidades ou ausência de unidades / unidades incorretas no resultado final.
Erros de tipo 2 – erros de cálculo analítico, erros na utilização de fórmulas e outros erros que não possam ser incluídos no tipo 1.
2.3. Qual dos seguintes gráficos melhor representa o valor da aceleração do sistema trenó + atletas, em função da posição, l, ao longo do percurso AF?
⇒ No movimento tem-se uma aceleração com a direção e sentido do movimento nos percursos AB e DE, tendo a sua componente escalar maior valor no percurso AB porque a inclinação é maior.
⇒ No percurso EF a aceleração também tem a direção do movimento, mas com sentido contrário.
⇒ Nestes percursos o movimento é retilíneo.
⇒ No percurso circular, BCD, a aceleração tem sempre a direção radial e aponta para o centro, com valor constante dado por , v2/r que é sempre constante.
A opção que foi considerada correta, aquando da correção dos exames, foi a (C).
No entanto, na formulação da pergunta existe uma incorreção.
⇒ O que se representa num gráfico é uma componente escalar de um vetor em função do tempo, ou, em alternativa, representa-se o módulo do vetor em função do tempo.
⇒ Como em nenhuma opção de resposta se representa o módulo da aceleração em função do tempo, pressupõe-se que se pretendem representar componentes escalares da aceleração.
⇒ Como, neste caso, a trajetória ora tem percursos retilíneos ora circulares, o sistema de eixos adequado para interpretar o movimento é um sistema de eixos ligado à partícula, conteúdo que se aborda na disciplina de Física 12.º ano, definindo-se, assim, as componentes da aceleração: a aceleração tangencial e a aceleração centrípeta.
⇒ Para descrever o modo como a aceleração varia são necessários, pois, dois gráficos: o da aceleração tangencial em função do tempo e o da aceleração centrípeta em função do tempo.
⇒ Nos trajetos retilíneos há apenas aceleração tangencial (positiva ou negativa, conforme o sentido do vetor aceleração é ou não o sentido do movimento), e no trajeto circular há apenas aceleração centrípeta (porque o movimento é uniforme), sempre positiva por definição.
Os gráficos respetivos representam-se em baixo.
⇒Assim, nenhuma das opções apresentadas está correta e a resposta correta está fora do âmbito do Programa de Física e Química
- Opção (C)…………. 7 pontos
2.4. Ao escreverem o relatório, alguns alunos discutiram se o módulo da velocidade do trenó se manteria, ou não, constante no percurso horizontal circular BCD, tendo em conta que nesse percurso há forças a atuar no trenó.
Escreva um texto em que justifique a conclusão que terá prevalecido no relatório.
Note-se que não existe atrito no percurso horizontal circular BCD.
⇒Então, as forças que sobre ele atuam são o peso (força exercida pela Terra), uma reação normal da superfície da pista na horizontal e outra reação normal da parede vertical.
⇒Não existindo atrito, as forças têm a direção perpendicular ao movimento, e, portanto, o seu trabalho é nulo, não fazendo variar a energia cinética, o que leva a que o módulo da velocidade seja constante.
⇒As forças que atuam devem ter resultante na direção horizontal apontando para o centro da trajetória, pois a trajetória é circular.
Nota: embora o perfil indicado tenha sentido do ponto de vista físico («uma parede vertical de gelo que o mantém nessa trajetória»), o perfil mais comum de uma pista de gelo é um perfil semelhante ao da figura seguinte. Neste caso, as duas forças também têm resultante na direção horizontal, apontando para o centro da trajetória.
- A composição deve contemplar os seguintes tópicos:
⇒ As forças que atuam no trenó têm direção perpendicular ao deslocamento, em cada ponto da trajetória circular, pelo que não realizam trabalho sobre o trenó.
⇒Aplicando o teorema da energia cinética, conclui-se que se mantém constante a energia cinética do trenó e, consequentemente, o módulo da sua velocidade.
A classificação deste item utiliza os níveis de desempenho registados nos critérios gerais,
apresentados de acordo com os tópicos descritos.
Se o examinando referir apenas 1 tópico:
– atribuir a cotação de 7 pontos se este estiver correto;
– atribuir a cotação de 6 pontos se for utilizada ocasionalmente uma terminologia científica não adequada e/ou com incorreções.
3. (2006 – 2ªF) Quando, nos anos 60 do século XX, os satélites geostacionários se tornaram uma realidade, foi possível utilizá-los para as comunicações a longa distância e outros fins, que têm vindo a modificar a forma como vivemos, trabalhamos e passamos os tempos livres.
3.1. Dois astronautas com massas diferentes encontram-se no interior de um satélite geostacionário, em repouso em relação às paredes do satélite.
Seleccione a alternativa CORRECTA.
(A) As forças gravíticas que actuam nos dois astronautas, resultantes da interacção com a Terra, são nulas.
(B) As forças gravíticas que actuam nos dois astronautas, resultantes da interacção com a Terra, são diferentes de zero e iguais em módulo.
(C) Ambos os astronautas possuem aceleração nula, em relação a um sistema de referência com origem no centro da Terra.
(D) Os valores absolutos das acelerações dos astronautas, em relação a um sistema de referência com origem no centro da Terra, são iguais.
⇒ (A) Errada.
Os astronautas continuam submetidos à força gravítica exercida pela Terra, que depende da distância e das massas da Terra e de cada astronauta.
⇒ (B) Errada.
Se as massas dos astronautas são diferentes, as forças gravíticas são também diferentes.
⇒ (C) Errada.
Os astronautas, tal como o satélite, têm aceleração centrípeta, não nula. Se não tivessem aceleração centrípeta, o satélite seguiria a direito com velocidade constante…
⇒ (D) Correcta.
A aceleração depende apenas da velocidade do satélite e do raio da órbita. (Na superfície da Terra, é igual para todos os corpos… se não existir outra força além da força gravítica…).
- Opção (D)…………. 7 pontos
3.2. Seleccione a alternativa que permite escrever uma afirmação CORRECTA.
A altitude de um satélite geostacionário terrestre depende…
(A) … da massa do satélite.
(B) … do módulo da velocidade linear do satélite.
(C) … da massa da Terra.
(D) … da velocidade de lançamento do satélite.
- Opção (C)…………. 7 pontos
4. (2006 – 2ªF) Um satélite geostacionário de massa m = 5,0 × 103 kg encontra-se num ponto situado na vertical do equador, movendo-se com velocidade de módulo, v, a uma distância, r, do centro da Terra.
O módulo da força centrípeta que actua no satélite é Fc = m v2/r.
Calcule, apresentando todas as etapas de resolução:
4.1. o módulo da velocidade angular do satélite em relação ao centro da Terra.
Uma metodologia de resolução deve apresentar, no mínimo, as seguintes etapas de resolução, para ser considerada correcta.
⇒ Identifica o período do movimento do satélite com o de um dia terrestre.
⇒ Utiliza a expressão ω = 2π/T, para obter ω (ω = 7,27 × 10–5 rad s–1).
Se a resposta apresentar ausência de metodologia de resolução ou metodologia de resolução incorrecta, ainda que com um resultado final correcto, a cotação a atribuir será zero pontos.
Erros de tipo 1 – erros de cálculo numérico, transcrição incorrecta de dados, conversão incorrecta de unidades ou ausência de unidades / unidades incorrectas no resultado final.
Erros de tipo 2 – erros de cálculo analítico, erros na utilização de fórmulas e outros erros que não possam ser incluídos no tipo 1.
4.2. o módulo da força gravítica que actua no satélite, devido à interacção com a Terra.
Uma metodologia de resolução deve apresentar, no mínimo, as seguintes etapas de resolução, para ser considerada correcta:
⇒ Identifica o período do movimento do satélite com o de um dia terrestre.
⇒ Relaciona o módulo da velocidade linear do satélite com a distância r deste ao centro da Terra e o período T do movimento.
⇒ Calcula a distância r do satélite ao centro da Terra, igualando a expressão da aceleração gravítica de um corpo a essa distância do centro da Terra à expressão do módulo da aceleração radial do corpo, num movimento circular com raio r.
⇒ Utilizando F = GmM/ r2 ou F = 4π2r m / T2, obtém o módulo da força gravítica (F = 1,1 × 103 N).
Se a resposta apresentar ausência de metodologia de resolução ou metodologia de resolução incorrecta, ainda que com um resultado final correcto, a cotação a atribuir será zero pontos.
Erros de tipo 1 – erros de cálculo numérico, transcrição incorrecta de dados, conversão
incorrecta de unidades ou ausência de unidades / unidades incorrectas no resultado final.
Erros de tipo 2 – erros de cálculo analítico, erros na utilização de fórmulas e outros erros que não possam ser incluídos no tipo 1.
5. (2007 – 1ªF) A queda de um corpo abandonado, próximo da superfície terrestre, foi um dos primeiros movimentos que os sábios da Antiguidade tentaram explicar.
Mas só Galileu, já no séc. XVII, estudou experimentalmente o movimento de queda dos graves e o lançamento de projécteis.
Observe com atenção a figura 3, que mostra uma esfera a cair em duas situações:
Na situação I, a esfera, inicialmente em repouso, é colocada no ponto A, deslizando sem atrito sobre a calha, até ao ponto B. No ponto B, abandona a calha, descrevendo um arco de parábola até ao ponto C.
Na situação II, a esfera é abandonada no ponto E, caindo na vertical da mesma altura,h.
Em qualquer das situações, considere o sistema de eixos de referência representado na figura, com origem no solo, desprezando o efeito da resistência do ar.
Considere a situação II representada na figura.
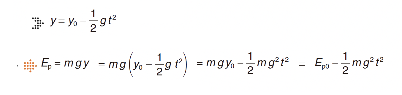
5.1. Seleccione o gráfico que traduz correctamente a variação da energia potencial gravítica, Ep, da esfera, em função do tempo de queda, t, até atingir o solo.
- Opção (X)…………. (item anulado) …… 7 pontos
5.2. Seleccione a alternativa que apresenta os gráficos que traduzem correctamente a variação dos valores da velocidade, v, e da aceleração, a, em função do tempo, t, durante o movimento de queda da esfera.
- Opção (B)
⇒ A aceleração é constante e de valor –10 m/s2. Portanto, as hipóteses (C) e (D) estão incorrectas.
⇒ Tem-se a = –g e v = –g t, ou seja, a velocidade varia linearmente com o tempo. O gráfico v (t) é uma recta que passa pela origem e com declive negativo.
⇒ Só a hipótese (B) satisfaz esta condição (notar que o declive de v (t) em (A) é positivo).
- Opção (B)…………. 8 pontos
6. (2007 – 2ªF) Um satélite descreve periodicamente uma órbita circular em torno da Terra, estando sujeito apenas à força gravítica exercida pela Terra.
6.1. Seleccione o diagrama que representa correctamente a força, F, exercida pela Terra (T) sobre o satélite (S) e a velocidade, v, do satélite, durante o seu movimento em torno da Terra.
- Opção (B)
⇒ A força gravítica no satélite aponta sempre para a Terra e a velocidade é sempre tangente à trajectória.
- Opção (B)…………. 8 pontos
6.2. Seleccione a alternativa que apresenta os gráficos que traduzem correctamente a variação dos módulos da velocidade, v, do satélite e da força, F, que actua sobre este, em função do tempo, t, durante o movimento do satélite em torno da Terra.
- Opção (B)…………. 8 pontos
- Opção (B)
⇒ Como a força é perpendicular à trajectória, o módulo da velocidade é constante, e como o satélite se encontra sempre à mesma distância da Terra, o módulo da força é constante.
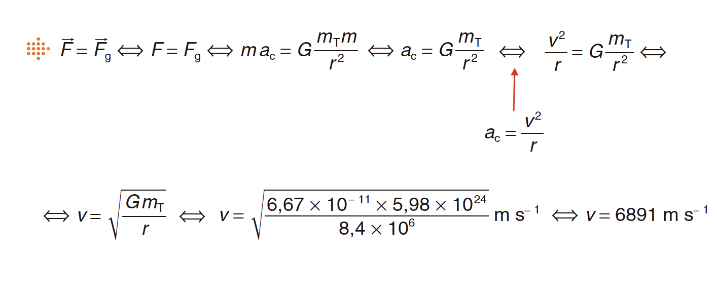
6.3. Um satélite artificial descreve, com velocidade de módulo, v, uma órbita circular de raio, r, igual a 8,4 × 106 m, em torno da Terra.
Calcule o módulo da velocidade orbital do satélite, considerando que o módulo da aceleração centrípeta do satélite é ac = v2/r
Apresente todas as etapas de resolução.
- Uma metodologia de resolução correcta deverá apresentar, no mínimo, as seguintes etapas:
⇒ Escreve a expressão que traduz a força centrípeta, Fc = mv2/r , e iguala esta expressão à expressão que traduz a força gravítica, Fg.
⇒ Deduz a expressão da velocidade orbital, v = √(GMT/r)
⇒ Calcula o módulo da velocidade orbital do satélite (v = 6,9 × 103 ms–1).
Erros de tipo 1 – erros de cálculo numérico, transcrição incorrecta de dados, conversão incorrecta de unidades ou ausência de unidades / unidades incorrectas no resultado final.
Erros de tipo 2 – erros de cálculo analítico, erros na utilização de fórmulas, ausência de conversão de unidades(*) e outros erros que não possam ser incluídos no tipo 1.
(*) Qualquer que seja o número de conversões de unidades não efectuadas, contabilizar apenas como um erro de tipo 2.
⇒ Se a resposta apresentar ausência de metodologia de resolução ou metodologia de resolução incorrecta, ainda que com um resultado final correcto, a classificação a atribuir será de zero pontos.
7. (TI – 16/01/2008) Leia atentamente o seguinte texto.
O receptor GPS utilizado nos carros é uma parte do chamado sistema GPS (Global Positioning System), que foi criado e é controlado pelo Departamento de Defesa dos Estados Unidos da América.
A finalidade do GPS é determinar a posição de um objecto localizado na superfície da Terra dando as três dimensões: longitude, latitude e altitude.
O sistema GPS pode ser descrito em termos de três componentes: a espacial, a de controlo e a do utilizador.
A componente espacial é constituída por 24 satélites com relógios atómicos, que descrevem órbitas circulares em torno da Terra, com um período orbital de 12 h, distribuídos em 6 planos orbitais.
A componente de controlo é constituída por um conjunto de estações terrestres que recebem continuamente informação dos satélites.
Os dados são depois enviados para uma Estação de Controlo, em Colorado Springs, que analisa a posição relativa de cada satélite e projecta as suas trajectórias e o comportamento dos relógios para as horas seguintes.
A componente do utilizador é constituída pelo receptor que se encontra na superfície da Terra.
A posição de um objecto à superfície da Terra é fornecida pelos sinais electromagnéticos provenientes de três satélites.
Cada satélite envia um sinal codificado com a sua localização e o instante de emissão do sinal. O receptor GPS regista o instante da recepção de cada sinal e calcula a distância a que se encontra o satélite.
O receptor está localizado num ponto de intersecção de três superfícies esféricas centradas em cada satélite, cujo raio corresponde à distância entre o receptor e o satélite.
O relógio do receptor GPS não é tão preciso como os relógios atómicos dos satélites. Por isso, é utilizado um sinal de um quarto satélite para sincronizar o relógio do receptor com os dos satélites.
Adaptado do sítio Cosmo.fis.fc.ul.pt/crawford/artigos
7.1. Indique, com base na informação contida no texto, o número de voltas em torno da Terra que um satélite do sistema GPS efectua durante um dia.
- ⇒ Como o período orbital de um satélite GPS é de 12 h, então, durante um dia, 24 h, efetua duas voltas.
- 2 voltas …………. 8 pontos
7.2. Considere um satélite que descreve uma trajectória circular, em volta da Terra, com velocidade de módulo constante e as grandezas vectoriais força, velocidade e aceleração associadas a esse movimento.
Seleccione o esquema que pode representar estas grandezas quando o satélite passa no ponto P da trajectória descrita.
- Opção (D)
⇒ O satélite está animado de movimento circular uniforme, pois o módulo da sua velocidade é constante e a resultante das forças é radial e centrípeta.
⇒ A velocidade é, em cada instante, tangente à trajetória e a força centrípeta e a aceleração são perpendiculares à velocidade e dirigidas para o centro da trajetória.
- Opção (D)…………. 8 pontos
8. (TI – 22/04/2008) Leia atentamente o seguinte texto.
Conta a lenda que no século XVII o italiano Galileu Galilei tendo deixado cair uma pedra grande e uma pedra pequena do cimo da torre de Pisa, verificou que ambas chegavam ao chão, aproximadamente, ao mesmo tempo.
Qual é a pedra que deve, de facto, cair primeiro, se se ignorar a resistência do ar? A pedra grande, ou a pedra pequena? Ignorar a resistência do ar significa que se imagina que não há atmosfera.
Se fizermos a experiência na Terra, deixando cair dois objectos do mesmo material, um muito grande e outro muito pequeno, constatamos que cai primeiro o objecto maior. Somos, então, levados pela intuição a concluir que devia cair primeiro a pedra grande, mesmo que se “desligasse” a resistência do ar.
A Natureza nem sempre está, porém, de acordo com as nossas intuições mais imediatas. Se se “desligasse” a resistência do ar, a pedra grande e a pedra pequena cairiam ao mesmo tempo.
No chamado “tubo de Newton” (um tubo de vidro onde se faz o vácuo) pode-se deixar cair, da mesma altura, objectos diferentes, por exemplo, uma chave e uma pena, e observar que chegam ao fundo do tubo exactamente ao mesmo tempo. Esse instrumento permite efectuar, em condições ideais, a hipotética experiência de Galileu na torre de Pisa.
Adaptado de Física Divertida, Carlos Fiolhais, Gradiva, 1991
8.1. Com base na informação apresentada no texto, seleccione a alternativa que completa correctamente a frase seguinte.
Na ausência de resistência do ar, o tempo de queda de um objecto depende…
(A) … da sua forma.
(B) … da sua massa.
(C) … da sua densidade.
(D) … da altura de queda.
- Opção (D)
⇒ Se um corpo for deixado cair de uma certa altura, com resistência do ar desprezável, ele cairá sempre da mesma maneira, seja qual for a sua forma ou outras propriedades suas.
⇒ A aceleração da queda é a aceleração gravítica, que apenas depende da Terra e não do corpo.
- Opção (D) …………. 8 pontos
8.2. Considere um objecto que, após ter sido abandonado do cimo da torre de Pisa, cai verticalmente até ao solo.
Sendo apreciável o efeito da resistência do ar sobre esse objecto, ele acaba por atingir a velocidade terminal.
Escreva um texto, no qual caracterize o movimento de queda desse objecto, abordando os seguintes tópicos:
• Identificação das forças que sobre ele actuam, descrevendo o modo como variam as intensidades dessas forças, durante a queda;
• Descrição, fundamentada, da variação do módulo da sua aceleração durante a queda;
• Identificação dos dois tipos de movimento que ele adquire durante a queda.
⇒ Um corpo ao ser largado fica sujeito à força gravítica (o peso), a qual é vertical, de sentido descendente e constante.
Desta forma, o corpo inicia um movimento acelerado.
⇒ A força de resistência do ar é contrária ao sentido do movimento e o seu valor aumenta quando aumenta a velocidade do corpo.
⇒ Depois de o corpo iniciar o seu movimento fica sujeito a uma força descendente constante, o peso, e a uma ascendente, a força de resistência do ar, cujo valor vai aumentado.
⇒ O movimento é acelerado (a velocidade aumenta), mas a aceleração do corpo, com sentido descendente, vai diminuindo de valor, até que se anula.
⇒ A partir desse instante, a força gravítica é anulada pela força de resistência do ar. Então, o corpo inicia um movimento uniforme (aceleração nula).
- A resposta deve contemplar os seguintes tópicos:
⇒ As forças que actuam sobre o objecto são o peso, cuja intensidade se mantém constante durante a queda, e a resistência do ar, cuja intensidade aumenta durante a queda.
⇒ Como as forças que actuam no corpo têm sentidos opostos, o módulo da aceleração diminui à medida que a intensidade da resistência do ar aumenta, tornando-se nulo quando a intensidade da resistência do ar iguala a intensidade do peso.
⇒ O objecto adquire inicialmente um movimento acelerado, passando depois a mover-se com
movimento uniforme.
A classificação da resposta a este item é feita em função do enquadramento da mesma num dos níveis de desempenho, de acordo com a tabela seguinte:
8.3. Nos seus estudos sobre o movimento dos corpos, para além da experiência descrita no texto, Galileu terá idealizado outras, utilizando planos inclinados.
Analogamente, é habitual usar, nos laboratórios das escolas, calhas para o estudo dos movimentos.
A figura 1 representa uma calha, inclinada entre os pontos A e B, que termina num tro.o horizontal BC.
O desnível entre o ponto A e o troço horizontal é de 30 cm.
Um bloco, de massa 100 g, colocado no ponto A, desliza ao longo da calha, atingindo o ponto C com velocidade nula. Entre os pontos A e B considera-se desprezável o atrito.
Entre os pontos B e C a superfície da calha é rugosa e, por isso, passa a actuar sobre o bloco uma força de atrito de intensidade 0,50 N.
Calcule o tempo que o bloco demora a percorrer o troço BC.
Apresente todas as etapas de resolução.
⇒ Para determinar o tempo que o bloco demora a percorrer o troço BC, tem de se calcular a velocidade com que atinge a posição B e a aceleração que adquire entre B e C.
⇒ Como as forças dissipativas entre A e B são desprezáveis há conservação de energia durante este percurso.
- EpA = EpB ⇔ mghA = ½ m vB2 ⇔ vB = 2,45 m s-1
⇒ Recorrendo à 2.ª Lei de Newton determina-se a aceleração entre B e C.
- Fr = Fa ⇔ ma = Fa ⇔ a = Fa/m ⇔ a = 5,0 m s-2
vC = vB – a t ⇒ 0 = 2,45 – 5,0 t ⇔ t = 0,49 s
- O bloco demorou a percorrer o troço BC 0,49 s.
- A resolução deve apresentar, no mínimo, as seguintes etapas, para ser considerada correta:
⇒ Calcula o módulo da velocidade com que o bloco atinge o ponto B (vB = 2,45 m s–1).
⇒ Calcula o módulo da aceleração do bloco no troço BC (a = 5,00 m s–2).
⇒ Calcula o tempo que o bloco demora a percorrer o troço BC (t = 0,49 s).
A classificação da resposta a este item é feita em função do enquadramento da mesma num dos níveis de desempenho, de acordo com a tabela seguinte:
9. (2008 – 1ªF) Quando se estudam muitos dos movimentos que ocorrem perto da superfície terrestre, considera-se desprezável a resistência do ar.
É o que acontece, por exemplo, no caso das torres de queda livre existentes em alguns parques de diversão.
Noutros casos, contudo, a resistência do ar não só não é desprezável, como tem uma importância fundamental no movimento.
A figura representa uma torre de queda livre que dispõe de um elevador, E, onde os passageiros se sentam, firmemente amarrados. O elevador, inicialmente em repouso, cai livremente a partir da posição A, situada a uma altura h em relação ao solo, até à posição B. Quando atinge a posição B, passa também a ser actuado por uma força de travagem constante, chegando ao solo com velocidade nula. Considere desprezáveis a resistência do ar e todos os atritos entre a posição A e o solo.
9.1. O elevador foi dimensionado de modo a atingir a posição B com velocidade de módulo igual a 30,3 m s–1.
Calcule a distância a que o ponto B se encontra do solo, sabendo que o módulo da aceleração do elevador, entre essas posições, é igual a 20 m s–2.
Considere o referencial de eixo vertical, com origem no solo, representado na figura, e recorra exclusivamente às equações que traduzem o movimento, y(t) e v(t).
Apresente todas as etapas de resolução.
As equações que traduzem a altura y e a velocidade v, em função do tempo t, são:
⇒ y (t) = y0 + voyt + ½ ay t2
⇒ v (t) = voyt + ay t
Atendendo ao referencial considerado e aos dados indicados no enunciado:
⇒ v0y = – 30,3 m/s (aponta para baixo, no sentido negativo)
⇒ ay = 20,0 m/s (aponta para cima, pois a força de travagem aponta também nesse sentido)
⇒ quando se atinge o solo, v = 0 m/s.
Substituindo estes valores na lei da velocidade pode obter‐se o tempo decorrido entre a posição B e o solo:
⇒ 0 = -30,3 + 20 t ⇔ t = 1,52 s
Quando se atinge o solo, y = 0 m, a lei do movimento permite calcular a distância pretendida, que corresponde à altura inicial y0:
⇒ 0 = y0 – 30,3 x 1,53 + ½ x 20 x 1,522 ⇔ y0 = 23 m
- A distância a que o ponto B se encontra do solo é 23 m.
- A resolução deve apresentar, no mínimo, as seguintes etapas, para ser considerada correta:
⇒ De acordo com o referencial apresentado, considera sinais algébricos correctos para vB (–30,3 m s–1) e para a (20 m s–2).
⇒ Utilizando a equação v(t) e identificando o valor da velocidade inicial, v0, com o valor da velocidade na posição B, vB , calcula o tempo de travagem do elevador (t = 1,52 s).
⇒ Utilizando a equação y (t), calcula a distância a que o ponto B se encontra do solo (23 m).
A classificação da resposta a este item é feita em função do enquadramento da mesma num dos níveis de desempenho, de acordo com a tabela seguinte:
* Descritores apresentados no segundo quadro da página C/3 dos critérios gerais de classificação.
9.2. Um exemplo de movimento em que a resistência do ar não é desprezável é o movimento de queda de um pára-quedista.
O gráfico da figura 4 representa o módulo da velocidade de um pára-quedista, em queda vertical, em função do tempo.
Considere que o movimento se inicia no instante t = 0 s e que o pára-quedas é aberto no instante t2.
Classifique como verdadeira (V) ou falsa (F) cada uma das afirmações seguintes.
(A) No intervalo de tempo [0, t1] s, o módulo da aceleração do pára-quedista é constante.
(B) No intervalo de tempo [t1, t2] s, a resultante das forças que actuam no pára-quedista é nula.
(C) No intervalo de tempo [t2, t3] s, o módulo da aceleração do pára-quedista é igual a 10 m s–2.
(D) No intervalo de tempo [0, t1] s, a intensidade da resistência do ar aumenta, desde zero até um valor igual ao do peso do conjunto pára-quedista / pára-quedas.
(E) No intervalo de tempo [t2, t3] s, a resultante das forças que actuam no conjunto pára-quedista / pára-quedas tem sentido contrário ao do movimento do pára-quedista.
(F) No intervalo de tempo [t1, t2] s, a energia cinética do conjunto pára-quedista/pára-quedas mantém-se constante.
(G) No intervalo de tempo [0, t1] s, há conservação da energia mecânica do sistema pára-quedista / pára-quedas + Terra.
(H) No intervalo de tempo [t3, t4] s, o pára-quedista encontra-se parado.
- Verdadeiras : (B), (D), (E), (F)…………. 10 pontos
- Falsas : (A), (C), (G), (H)
⇒ (A), falsa
porque nesse intervalo de tempo a intensidade da resistência do ar aumenta à medida que a velocidade aumenta, pelo que a aceleração vai diminuindo, até se anular no instante t1.
⇒ (C), falsa.
O módulo da aceleração poderá ser igual a esse valor apenas nos instantes iniciais, em que a resistência do ar ainda não é significativa e o movimento é, aproximadamente, de queda livre.
⇒ (G), falsa.
Nesse intervalo de tempo, como actua a força de resistência do ar, que é uma força não conservativa, não vai haver conservação da energia mecânica do sistema.
⇒ (H), falsa.
O pára‐quedista está a cair com velocidade constante.
10. (2008 – 2ªF) Leia atentamente o seguinte texto.
Quando o astronauta Neil Armstrong pisou pela primeira vez o solo lunar, a 20 de Julho de 1969, entrou num mundo estranho e desolado. Toda a superfície da Lua está coberta por um manto de solo poeirento. Não há céu azul, nuvens, nem fenómenos meteorológicos de espécie alguma, porque ali não existe atmosfera apreciável. O silêncio é total.
Nas análises laboratoriais de rochas e solo trazidos da Lua não foram encontrados água, fósseis nem organismos de qualquer espécie.
A maior parte da luz do Sol que incide na superfície lunar é absorvida, sendo o albedo médio da Lua de apenas 11%. A aceleração da gravidade à superfície da Lua é cerca de 1/6 da que se verifica à superfície da Terra.
Depois da Lua, Vénus é o astro mais brilhante no céu nocturno, uma vez que a espessa camada de nuvens que o envolve reflecte grande quantidade da luz proveniente do Sol. A atmosfera de Vénus é constituída por cerca de 97% de dióxido de carbono e por uma pequena percentagem de azoto, com vestígios de vapor de água, hélio e outros gases. A temperatura à superfície chega a atingir 482 ºC, porque o dióxido de carbono e o vapor de água atmosféricos se deixam atravessar pela luz visível do Sol, mas não deixam escapar a radiação infravermelha emitida pelas rochas da sua superfície.
Dinah Moché, Astronomia, Gradiva, 2002 (adaptado)
Com base na informação apresentada no texto, seleccione o gráfico que traduz o modo como variam os módulos da velocidade de um corpo em movimento de queda livre vertical, próximo da superfície da Lua, vLua, e próximo da superfície da Terra, vTerra, em função do tempo de queda.
- Opção (B)
⇒ No gráfico v(t) o declive é igual à aceleração. Na Terra a aceleração é maior do que na Lua, logo o declive da recta é maior.
ou
⇒ Sendo a aceleração da gravidade na Terra superior à aceleração da gravidade na Lua, num movimento de queda livre vertical o módulo da velocidade de um corpo aumenta mais rapidamente na Terra do que na Lua.
ou
- VLua = gLuat e VTerra = gTerrat ⇔ VTerra = 6 gLuat
⇒ Para o mesmo tempo de queda, VTerra = 6 VLua, logo o gráfico que melhor traduz como variam os módulos da velocidade de um corpo em movimento de queda livre vertical, próximo da superfície da Lua e próximo da superfície da Terra, em função do tempo de queda é o representado em (B).
- Opção (B)…………. 5 pontos
11. (2008 – 2ªF) Enquanto os astronautas N. Armstrong e E. Aldrin, da missão Apollo 11, recolhiam amostras na superfície lunar, o seu colega M. Collins permanecia no Módulo de Comando (MC), em órbita à volta da Lua (L), como representado na figura 1 (a figura não está representada à escala).
11.1. Tendo em conta a situação descrita, seleccione o diagrama que representa correctamente as forças de interacção entre o Módulo de Comando e a Lua.
- Opção (D)
⇒ As forças constituem um par acção-reacção, sendo simétricas.
ou
⇒ As forças constituem um par acção-reacção: têm, por isso, a mesma intensidade e apontam para lados opostos.
ou
⇒ As forças de interação entre o Módulo de Comando e a Lua são um par ação-reação, pelo que têm a mesma direção, a mesma intensidade, sentidos opostos e pontos de aplicação no centro de massa de cada um dos corpos. Estas forças são atrativas.
⇒ O diagrama que representa corretamente as forças de interação entre o Módulo de Comando e a Lua é o (D).
- Opção (D)…………. 5 pontos
11.2. Considere que o Módulo de Comando (MC) descreveu, com um período de 2,0 h, diversas órbitas circulares, de raio 1,9 × 106 m, sujeito apenas à força gravítica exercida pela Lua.
Relativamente à situação descrita, classifique como verdadeira (V) ou falsa (F) cada uma das afirmações seguintes.
(A) O MC descreveu cada volta completa em 7,2 × 103 s.
(B) A velocidade linear do MC manteve-se constante.
(C) Em 2,0 h o MC percorreu uma distância de 1,9 × 106 m.
(D) O trabalho realizado pela resultante das forças aplicadas no MC foi nulo.
(E) O produto do módulo da velocidade angular do MC pelo período do seu movimento é independente do raio da órbita.
(F) O módulo da velocidade linear do MC depende da sua massa.
(G) O módulo da velocidade angular do MC foi 8,7 × 10–4 rad s–1.
(H) O valor da energia cinética do MC variou ao longo da órbita.
- Verdadeiras : (A), (D), (E), (G)…………. 10 pontos
- Falsas : (B), (C), (F), (H)
⇒ (A) Verdadeira
- 2,0 × 3600 s = 7200 s = 7,2 × 103 s
⇒ (B) Falsa
- A velocidade é tangente à trajectória e como a trajectória é circular está permanentemente a variar. O módulo da velocidade linear é que se mantém constante.
⇒ (C) Falsa
- Distância percorrida numa volta completa = 2 πr = 2 × 3,14 × 1,9 × 106 m = 1,19 × 107 m
⇒ (D) Verdadeira
- O trabalho realizado pela resultante das forças depende do deslocamento do corpo. Num período, o objecto descreve uma orbita completa sendo o seu deslocamento nulo, logo o trabalho da resultante é nulo.
O Módulo descreveu as órbitas sujeito apenas à força gravítica. Como esta aponta sempre para o centro da trajectória nunca tem componente na direcção do deslocamento, pelo que não realiza trabalho.
⇒ (E) Verdadeira
- ω = v/r ; T = 2πr/v , logo o ω x T = 2π , sendo por isso independente do raio da órbita
⇒ (F) Falsa
- A velocidade linear do Módulo depende do raio da órbita e da massa da Lua sendo independente da massa do Módulo.
⇒ (G) Verdadeira
ω = 2π/T = 8,7 x 10-4 rad s-1
⇒ (H) Falsa
- O Módulo move-se com movimento circular uniforme, logo o módulo da velocidade é constante. A energia cinética depende da massa do Módulo e do módulo da velocidade que são constantes, por isso a energia cinética é também constante.
12. (TI – 17/03/2009) Leia com atenção o pequeno texto atribuído a Newton:
«Comecei a pensar que a gravidade se estendia até à órbita da Lua e… deduzi que as forças que conservam os planetas nas suas órbitas devem ser inversamente proporcionais aos quadrados das suas distâncias aos centros em torno dos quais revolucionam: e assim comparei a força necessária para conservar a Lua na sua órbita com a força da gravidade à superfície da Terra.»
In Projecto Física Unidade 2, Fundação Calouste Gulbenkian, 1979, pp. 94-95
12.1. A Lua, o nosso satélite natural, descreve uma órbita praticamente circular em torno da Terra, com movimento circular uniforme.
Indique a relação entre as direcções da força que conserva a Lua na sua órbita e da velocidade da Lua.
⇒ O movimento da Lua em torno da Terra é circular uniforme, o que significa que o módulo da sua velocidade é constante.
⇒ A resultante das forças que atuam sobre a Lua é igual à força gravitacional exercida pela Terra, que é radial e centrípeta.
⇒ Em cada instante, a velocidade da Lua é tangente à trajetória que descreve – trajetória circular. Pode, pois, concluir-se que a força que mantém a Lua na sua trajetória circular é, em cada instante, perpendicular à sua velocidade.
- Perpendiculares ………… 8 pontos
12.2. Os satélites artificiais da Terra estão também sujeitos à força da gravidade.
Seleccione a alternativa que contém os termos que preenchem, sequencialmente, os espaços seguintes, de modo a obter uma afirmação correcta.
A intensidade da força que actua sobre esses satélites ______ quando a sua distância ao centro da Terra ______.
(A) … quadruplica … se reduz a metade.
(B) … quadruplica … duplica.
(C) … duplica … duplica.
(D) … duplica … se reduz a metade.
- Opção (A)
⇒ A intensidade da força que atua sobre um satélite artificial à distância r do centro da Terra é igual à intensidade da respetiva força gravitacional, cuja expressão é:
⇒ A intensidade da força gravitacional que atua sobre um satélite é inversamente proporcional ao quadrado da sua distância (r) ao centro da Terra.
⇒ Reduzindo esta distância para metade, a intensidade da força é:
⇒ Em conclusão, quando se reduz a distância de um satélite ao centro da Terra para metade, a intensidade da força que sobre ele atua quadruplica.
- Opção (A)…………. 8 pontos
13. (TI – 17/03/2009) Newton também contribuiu para o estudo do movimento dos corpos na Terra, formulando leis que estão referidas na sua obra «Principia».
O gráfico da figura 4 representa a componente, num eixo Ox, da velocidade, vx, de um homem que se desloca numa trajectória rectilínea horizontal, em função do tempo, t.
Seleccione a alternativa que contém a expressão da lei das velocidades, para o intervalo de tempo [0, 10] s.
(A) vx = 0,1t.
(B) vx = – 1,0 – 0,1t.
(C) vx = – 1,0 + 0,1t.
(D) vx = – 0,1t.
- Opção (C)
⇒ No intervalo de tempo [0, 10] s, o movimento do homem é uniformemente variado, cuja lei das velocidades é v = v0 + at.
⇒ O valor de v0 = – 1,0 m s-1 e o valor da aceleração é igual ao declive do segmento de reta relativo ao intervalo de tempo [0, 10] s:
⇒ A expressão da lei das velocidades é v =- 1,0 + 0,1t (SI)
- Opção (C)…………. 8 pontos
14. (TI – 26/05/2009) Num estudo de movimentos verticais, utilizou-se uma pequena bola de massa m, em duas situações diferentes, I e II.
Considere que o sentido do eixo Oy é de baixo para cima, e que nas duas situações é desprezável o efeito da resistência do ar.
Na situação I, a bola é lançada verticalmente para cima, com velocidade inicial de módulo 5,0 m s–1.
14.1. Determine a altura máxima atingida pela bola, em relação ao nível do lançamento.
Apresente todas as etapas de resolução.
- I – Lançamento vertical
- v0 = 5,0 m s-1
- ymáx = ?
⇒ A altura máxima é atingida no instante em que a velocidade da bola é nula.
⇒ Como a resistência do ar é desprezável, há conservação da energia mecânica da bola durante todo o seu movimento.
- Em0 = Em ⇔ Ec0 + Ep0 = Ec + Ep
⇒ Considerando o nível de lançamento como nível de referência da energia potencial gravítica Ep0 = 0 J e como a energia cinética da bola, no instante em que atinge a altura máxima, é nula, Ec = 0 J, então:
- Ec0 = Ep ⇔ ½ mv02 = m g ymáx ⇔ ½ v02 = g ymáx ⇒ ½ x 5,02 = 10 ymáx ⇒ ymáx = 1,25 m
⇒ A altura máxima atingida pela bola é, aproximadamente, 1,2 m.
- A resolução deve apresentar, no mínimo, as etapas seguintes:
⇒ Calcula o tempo de subida (t = 0,500 s).
⇒ Calcula a altura máxima em relação ao nível do lançamento (h = 1,25 m ≈ 1,2m).
A classificação da resposta a este item é feita em função do enquadramento da mesma num dos níveis de desempenho, de acordo com a tabela seguinte:
14.2. Seleccione a única alternativa que apresenta os gráficos que melhor traduzem as componentes escalares da velocidade, vy, e da aceleração, ay, em função do tempo, t, durante a ascensão e a queda da bola.
- Opção (A)
⇒ Como o sentido ascendente é o positivo, o valor da componente escalar da velocidade, vy, é positivo durante a subida, é nulo no instante em que atinge a altura máxima e negativo durante a queda, pelo que os gráficos vy = f(t), representados nas alternativas (A) e (C), traduzem corretamente a variação da velocidade da bola durante todo o seu movimento.
⇒ A aceleração do movimento é igual à aceleração gravítica, descendente e constante, de valor igual ao declive do gráfico vy = f(t), pelo que o seu valor é negativo.
- Opção (A)…………. 8 pontos
15. (2009 – 1ªF) Para investigar se um corpo se pode manter em movimento quando a resultante do sistema de forças que sobre ele actua é nula, um grupo de alunos fez a montagem representada na figura 4, utilizando material de atrito reduzido.
Os alunos tiveram o cuidado de utilizar um fio F de comprimento tal que permitisse que o corpo P embatesse no solo, antes de o carrinho C chegar ao fim da superfície horizontal, sobre a qual se movia.
Com os dados fornecidos pelo sensor S, obtiveram, num computador, o gráfico do valor da velocidade do carrinho, em função do tempo, representado na figura 5.
15.1. Seleccione a única alternativa que refere o intervalo de tempo em que terá ocorrido o embate do corpo P com o solo.
(A) [0,1; 0,2] s
(B) [0,7; 0,8] s
(C) [1,1; 1,2] s
(D) [1,6; 1,7] s
- Opção (C)
⇒ Quando ocorre um embate verifica-se uma variação brusca na velocidade.
⇒ Do gráfico retira-se que a variação brusca de velocidade ocorreu no intervalo após o instante 1 s e antes do 1,2 s.
- Opção (C)…………. 5 pontos
15.2. Por que motivo «os alunos tiveram o cuidado de utilizar um fio F de comprimento tal que permitisse que o corpo P embatesse no solo, antes de o carrinho C chegar ao fim da superfície horizontal, sobre a qual se movia»?
⇒ O objectivo era investigar qual o movimento de um corpo sujeito a uma soma de forças nula.
⇒ O fio preso ao corpo suspenso puxava o carrinho, mas a partir do instante em que tocava no chão deixava de o fazer.
⇒ Assim, a resultante das forças passava a ser nula e eles podiam analisar o movimento nessa situação.
⇒ Para que, a partir de um determinado instante, a força exercida pelo fio sobre o carrinho fosse nula. ——————– 5 pontos
ou
⇒ Para que, a partir de um determinado instante, a resultante das forças exercidas sobre o carrinho fosse nula.
15.3. Analise os resultados obtidos pelos alunos, elaborando um texto no qual aborde os seguintes tópicos:
• identificação das forças que actuaram sobre o carrinho, antes e depois do embate do corpo P com o solo;
• identificação dos dois tipos de movimento do carrinho, ao longo do percurso considerado, explicitando os intervalos de tempo em que cada um deles ocorreu;
• resposta ao problema proposto, fundamentada nos resultados da experiência.
⇒ Forças que actuam no corpo antes do embate com o solo:
- Força gravítica, vertical, para baixo;
- Força de reação do plano, vertical, para cima, equilibrando a força gravítica;
- Força exercida pelo fio no corpo, horizontal, para a direita;
⇒ Forças que actuam no corpo depois do embate com o solo:
- Força gravítica, vertical, para baixo;
- Força de reação do plano, vertical, para cima, equilibrando a força gravítica;
⇒ O movimento do carrinho, sempre com trajetória retilínea é:
- Uniformemente acelerado, entre t = 0,1 s e t = 1,1 s
- Uniforme ( e retilíneo ) após t = 1,1 s, aproximadamente.
⇒ Os dados permitem concluir que, a partir do instante em que a resultante das forças é nula, o corpo move-se com movimento uniforme e rectilíneo. Enquanto essa resultante das forças for nula, o corpo não pára.
- A resposta deve abordar os seguintes tópicos:
⇒ Antes do embate do corpo P com o solo, actuavam sobre o carrinho a força gravítica, a força exercida pela superfície de apoio (reacção normal) e a força exercida pelo fio.
Depois do embate do corpo P com o solo, continuaram a actuar sobre o carrinho a força gravítica e a força exercida pela superfície de apoio.
⇒ No intervalo de tempo [0,1; 1,1] s, o movimento do carrinho foi rectilíneo uniformemente acelerado, e, no intervalo de tempo [1,2; 2,0]s, o movimento foi rectilíneo uniforme.
⇒ Depois do embate do corpo P com o solo, embora a resultante das forças exercidas sobre o carrinho fosse nula, verificou-se que o carrinho continuava em movimento. Pode assim concluir-se que um corpo se mantém em movimento quando a resultante do sistema de for as que sobre ele actua é nula.
A classificação da resposta a este item é feita em função do enquadramento da mesma num dos níveis de desempenho, de acordo com a tabela seguinte.
















































