2011 – 2ª Fase – Prova Escrita de Física e Química A

  • Prova Escrita de Física e Química A – versão 1
  • Prova 715: 2.ª Fase2011

Grupo I

O espectro da radiação eletromagnética, que abrange uma enorme gama de frequências, compreende um pequeno segmento que corresponde a uma sequência de cores – violeta, azul, verde, amarelo, laranja e vermelho.

Mas há muito mais luz do que aquela que vemos nesse pequeno segmento do espectro. Nas frequências mais altas, para lá do violeta, fica uma parte do espectro chamada ultravioleta: uma espécie de luz, invisível aos nossos olhos, mas perfeitamente real. Para lá do ultravioleta fica a parte de raios X do espectro e para lá dos raios X ficam os raios gama.

Nas frequências mais baixas, do outro lado do vermelho, fica a parte infravermelha do espectro. Foi descoberta colocando um termómetro nessa zona do espectro: a temperatura subiu, o que significava que havia radiação a incidir no termómetro. Nas frequências ainda mais baixas, fica a vasta região espectral das ondas de rádio.

Dos raios gama às ondas de rádio, todos são tipos respeitáveis de luz. Mas, em virtude das limitações dos nossos olhos, temos uma espécie de preconceito a favor daquele pequeno segmento de arco-íris a que chamamos espectro da luz visível.

Carl Sagan, Cosmos, Gradiva, 1984 (adaptado)

  • 10ºanoQuímica – Domínio 1 – subdomínio 2 (Energia dos eletrões nos átomos)

1. Apresente um esquema que traduza a sequência dos vários tipos de radiação no espectro eletromagnético, com base na informação dada no texto.

Resolução
  • Esquema que traduza a seguinte sequência:

raios gama / raios X / ultravioleta / visível / infravermelho / ondas de rádio (por ordem decrescente de frequência)

ou

raios gama / raios X / ultravioleta / violeta / azul / verde / amarelo / laranja / vermelho / infravermelho / ondas de rádio (por ordem decrescente de frequência)

ou

Ordenação inversa se por ordem crescente da frequência

Critérios
  • ondas de rádio | infravermelho | visível | ultravioleta | raios X | raios gama …………. 5 pontos

Notas:

1. Desde que o examinando apresente um esquema com a sequência correta (por ordem crescente ou decrescente das frequências), será atribuída a cotação total.

2. Se o examinando substituir, no esquema por ele apresentado, a designação «visível» pela sequência correta das radiações visíveis (com base na informação fornecida), deverá ser atribuída a cotação total.

 
  • 11ºanoFísica  – Domínio 2 – subdomínio 3 (Ondas eletromagnéticas)

2. O espectro da luz visível pode ser obtido fazendo incidir radiação solar num prisma de vidro.

Admita que o índice de refração, n, do vidro de que é constituído um prisma é 1,51 para uma radiação vermelha e 1,53 para uma radiação violeta.

Conclua, justificando, qual destas radiações se propaga com maior velocidade no interior do prisma.

Resolução

A velocidade de propagação de uma dada radiação num certo meio é inversamente proporcional ao índice de refracção desse meio para essa radiação, uma vez que:

  • n = c/v

O índice de refracção do vidro para a radiação vermelha é menor do que para a radiação violeta, logo a velocidade de propagação da radiação vermelha no vidro é maior.

Critérios
  • A resposta deve apresentar os seguintes tópicos:

A) O índice de refração de um meio para uma dada radiação é dado pelo quociente entre a velocidade de propagação da luz no vácuo e a velocidade de propagação daquela radiação no meio considerado.

ou

O índice de refração de um meio para uma dada radiação é inversamente proporcional à velocidade de propagação dessa radiação naquele meio.

B) [Sendo o índice de refração para a radiação vermelha inferior ao índice de refração para a radiação violeta,] conclui-se que é a radiação vermelha que se propaga com maior velocidade no interior do prisma.

A classificação da resposta a este item é feita em função do enquadramento da mesma num dos níveis de desempenho, de acordo com a tabela seguinte.

 
  • 11ºanoFísica  – Domínio 2 – subdomínio 3 (Ondas eletromagnéticas)

3. Considere um feixe laser, muito fino, que se propaga no ar e que incide numa das faces de um prisma de vidro.

Em qual das figuras seguintes está representada parte de um trajeto possível desse feixe no interior do prisma?

Resolução
  • Opção (A)

Como o vidro é mais refringente do que o ar (o índice de refracção do vidro é maior do que o do ar), quando a luz entra no vidro a direcção do feixe de luz aproxima-se da normal à superfície de separação ar/vidro.

Critérios
  • Opção (A)…………. 5 pontos
 
  • 10ºanoFísica – subdomínio 3 (Energia, fenómenos térmicos e radiação)

4. Os coletores solares térmicos são dispositivos que permitem aproveitar o efeito térmico da radiação que nos chega do Sol.

Pretende-se instalar um sistema solar térmico com coletores orientados de modo que neles incida, por cada metro quadrado (m2), radiação de energia média diária de 1,0 × 107 J.

O sistema, com um rendimento médio de 35%, destina-se a aquecer 300 kg de água.

Calcule a área de coletores que deve ser instalada, caso se pretenda que o aumento médio diário da temperatura da água seja 40 ºC.

Apresente todas as etapas de resolução.

c (capacidade térmica mássica da água) = 4,18 x 103 J kg-1 ºC-1

Resolução
  • Opção (D)

Energia média diária necessária para o aquecimento da água:

  • Eútil = Q = m c Δθ = 300 x 4,18 x 103 x 40 = 5,02 x 107 J

Cálculo da energia que é necessário fornecer aos colectores, por dia, para originar aquela variação de energia interna:

Critérios
  • A resolução deve apresentar as seguintes etapas:

A) Determinação da energia média diária necessária ao aquecimento da água (Eu = 5,02 × 107 J).

B) Determinação da energia média diária que deve ser fornecida aos coletores solares térmicos (Ef = 1,43 × 108 J).

C) Determinação da área de coletores que deve ser instalada (A = 14 m2).

A resposta a este item deve ser enquadrada num dos níveis de desempenho relacionados com a consecução das etapas, de acordo com a tabela seguinte.

A classificação a atribuir à resposta resulta da pontuação decorrente do enquadramento num dos níveis de desempenho atrás descritos, à qual podem ser subtraídos pontos, de acordo com o enquadramento nos níveis de desempenho relacionados com o tipo de erros cometidos.

 

5. Admitindo que as estrelas se comportam como corpos negros, o comprimento de onda da radiação de máxima intensidade emitida por uma estrela será tanto maior quanto

(A) maior for a temperatura a que esta se encontra.

(B) menor for a temperatura a que esta se encontra.

(C) maior for a área da sua superfície.

(D) menor for a área da sua superfície.

*O conteúdo deste item  já não faz parte dos atuais referenciais programáticos da disciplina. 

Resolução
  • Opção (B)

O comprimento de onda da radiação de máxima intensidade, emitida por um corpo negro, é inversamente proporcional à temperatura da sua superfície (lei do deslocamento de Wien).

Critérios
  • Opção (B)…………. 5 pontos
 

Grupo II

1. Na Figura 1, está representado o espectro da estrela Rigel na região do visível.

  • 10ºanoQuímica – Domínio 1 – subdomínio 2 (Energia dos eletrões nos átomos)

1.1. Selecione a única opção que contém os termos que preenchem, sequencialmente, os espaços seguintes.

O espectro representado na Figura 1 resulta da sobreposição de um espectro de _______ contínuo e de um conjunto de riscas negras resultantes da _______ de radiação pelas espécies presentes na atmosfera da estrela.

(A) absorção … absorção

(B) emissão … emissão

(C) absorção … emissão

(D) emissão … absorção

Resolução
  • Opção (D)

O espetro da estrela Rigel representado na figura 1 resulta da sobreposição de um espetro de emissão (pois resulta da luz emitida pela estrela) e de um conjunto de riscas negras resultantes da absorção de radiações pelas espécies presentes na atmosfera da estrela.

Critérios
  • Opção (D)…………. 5 pontos
 
  • 10ºanoQuímica – Domínio 1 – subdomínio 2 (Energia dos eletrões nos átomos)

1.2. O espectro da estrela Rigel apresenta uma risca negra bem definida a um comprimento de onda de 486 nm.

Qual das expressões seguintes permite calcular a frequência, f , em hertz (Hz), da radiação que, no vácuo, tem aquele comprimento de onda?

Resolução
  • Opção (B)
  • λ = 486 nm = 486 x 10-9 m = 4,86 x 10-7 m

Como, no vácuo, as radiações eletromagnéticas têm uma velocidade de propagação igual a c = 3,00 x 108 m s-1 e a expressão que relaciona a frequência e o comprimento de onda de uma radiação é:

Critérios
  • Opção (B)…………. 5 pontos
 
  • 10ºanoQuímica – Domínio 1 – subdomínio 2 (Energia dos eletrões nos átomos)

1.3. O espectro de emissão do hélio atómico na região do visível apresenta, entre outras, uma risca a 587 nm e uma risca a 667nm.

Conclua, justificando a partir da informação fornecida, se é provável que o hélio esteja presente na atmosfera da estrela Rigel.

Resolução

As riscas do espectro de absorção de um dado átomo apresentam os mesmos comprimentos de onda do espectro de emissão desse átomo.

Na figura surgem riscas negras que poderão corresponder à absorção de radiação dos comprimentos de onda referidos (uma das riscas que se encontra entre 575 nm e 600 nm e outra entre 650 nm e 675 nm) e que podemos associar à provável presença de hélio na atmosfera da estrela Rigel.

Critérios
  • A resposta deve apresentar os seguintes tópicos:

A) [Apresentando o espectro de emissão do hélio atómico uma risca a 587 nm e outra a 667 nm,] o espectro de absorção do hélio atómico deverá apresentar riscas negras aos comprimentos de onda referidos.

B) Como o espectro da estrela Rigel apresenta duas riscas [negras] a comprimentos de onda aproximadamente coincidentes com os comprimentos de onda referidos, conclui-se que é provável que o hélio esteja presente na atmosfera da estrela.

A classificação da resposta a este item é feita em função do enquadramento da mesma num dos níveis de desempenho, de acordo com a tabela seguinte.

 
  • 10ºanoQuímica – Domínio 1 – subdomínio 2 (Energia dos eletrões nos átomos)

2. O espectro de emissão do átomo de hidrogénio apresenta uma risca vermelha originada por uma transição eletrónica que envolve a emissão de radiação de energia igual a 3,03 x 10-19 J.

O número quântico principal, n, do nível energético para o qual o eletrão transita e a variação de energia, ΔE, associada a essa transição eletrónica são, respetivamente,

(A) n = 3 e ΔE = + 3,03 x 10-19 J

(B) n = 2 e ΔE = + 3,03 x 10-19 J

(C) n = 2 e ΔE = – 3,03 x 10-19 J

(D) n = 3 e ΔE = – 3,03 x 10-19 J

Resolução
  • Opção (C)

Há emissão de radiação visível (vermelho) logo o electrão no átomo de hidrogénio transita para o nível energético n = 2.

O átomo perde energia, portanto, a variação de energia associada à transição é negativa.

Critérios
  • Opção (C)…………. 5 pontos
 

Grupo III

O oxigénio, O2 (g), é um dos componentes principais da atmosfera terrestre.
  • 10ºanoQuímica – Domínio 1 – subdomínio 3 (Tabela periódica)

1. Considere o período da Tabela Periódica onde se encontra o elemento oxigénio.

Qual é o elemento desse período cujos átomos apresentam maior raio atómico?

Resolução
  • Lítio

Em geral, para os elementos representativos, o raio atómico diminui ao longo do período.

Portanto o elemento com maior raio atómico deverá ser o primeiro de cada período.

O primeiro elemento do período do oxigénio (2º período) é o lítio.

Critérios
  • Lítio ou Li …………. 5 pontos
 
  • 10ºanoQuímica – Domínio 2 – subdomínio 1 (Ligação química)

2. Represente a molécula O2 , utilizando a notação de Lewis.

Resolução

Critérios
  • :Ö = Ö:  ou :Ö :: Ö:  (ou equivalente ) …………. 5 pontos
 
  • 10ºanoQuímica – Domínio 1 – subdomínio 1 (Massa e tamanho dos átomos)

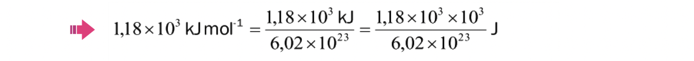
3. Na termosfera, pode ocorrer a ionização de O2 (g) por absorção de, pelo menos, 1,18 x 103 kJ mol-1.

Para que ocorra a ionização de uma molécula de O2 (g), deverá ser absorvida, pelo menos, uma energia, em joule (J), igual a

Resolução
  • Opção (D)
  • Eion. (O(g)) = 1,18 x 103 kJ mol-1 = 1,18 x 106 J mol-1

O valor mínimo de energia que deverá ser absorvida para ionizar uma molécula de O2 (g) é igual à energia de ionização por mole (de moléculas) a dividir pela constante de Avogadro, NA (6,02 x 1023 mol-1)

Critérios
  • Opção (D)…………. 5 pontos
 
  • 10ºanoQuímica – Domínio 2 – subdomínio 2 (Gases e dispersões)
4. A tabela seguinte apresenta a composição de uma amostra de ar.

Qual das expressões seguintes permite calcular a fração molar de O2 (g), xO2, nessa amostra?

Resolução
  • Opção (B)

A fração molar de O2 (g), X(O2), representa o quociente entre a quantidade (em moles) de O2 e a quantidade total (em moles) de todos os componentes da mistura.

Critérios
  • Opção (B)…………. 5 pontos
 
  • 11ºanoQuímica – Domínio 1 – subdomínio 1 (Aspetos quantitativos das reações químicas)

5. A reacção de combustão do butano, C4H10 (g) (M = 58,14 g mol-1), no ar, pode ser traduzida por

2 C4H10 (g) + 13 O2 (g) → 8 CO2 (g) + 10 H2O (g)

Calcule o volume de O2 (g) necessário para que ocorra a combustão completa de 23,26 g de butano, em condições normais de pressão e de temperatura (PTN).

Apresente todas as etapas de resolução.

Resolução
  •  m (C4H10 (g)) = 23,26 g
  • M (C4H10) = 58,14 g mol-1

2 C4H10 (g) + 13 O2 (g) → 8 CO2 (g) + 10 H2O (g)

  Pela proporção estequiométrica determina-se a quantidade de matéria de oxigénio necessário para a combustão completa de 23,26 g de butano:

  Volume correspondente de O2, em condições PTN:

  • V = n Vm = 2,601 x 22,4 = 58,3 dm3
Critérios
  • A resolução deve apresentar as seguintes etapas:

A) Determinação da quantidade de O2 (g) necessária para que ocorra a combustão completa do butano (n = 2,600 mol).

B) Determinação do volume de O2 (g) necessário para que ocorra a combustão completa do butano (V = 58,2 dm3).

A resposta a este item deve ser enquadrada num dos níveis de desempenho relacionados com a consecução das etapas, de acordo com a tabela seguinte.

A classificação a atribuir à resposta resulta da pontuação decorrente do enquadramento num dos níveis de desempenho atrás descritos, à qual podem ser subtraídos pontos, de acordo com o enquadramento nos níveis de desempenho relacionados com o tipo de erros cometidos.

 
  • 11ºanoFísica  – Domínio 2 – subdomínio 1 (Sinais e ondas)

6. Considere um som harmónico que se propaga no ar.

Se esse som se propagar na água, terá

(A) a mesma frequência e o mesmo comprimento de onda.

(B) a mesma frequência e o mesmo período.

(C) o mesmo período e o mesmo comprimento de onda.

(D) o mesmo período e a mesma velocidade de propagação.

Resolução
  • Opção (B)

A frequência não depende do meio de propagação e o período é o inverso da frequência, portanto, também não depende do meio.

  • v = λ f

O comprimento de onda altera-se pois depende da velocidade de propagação do som que é uma propriedade do meio em que ocorre a propagação.

Critérios
  • Opção (B)…………. 5 pontos
 

Grupo IV

1. O produto iónico da água, Kw, é a constante de equilíbrio definida para a reação de auto-ionização da água que pode ser traduzida por

2 H2O (l) ⇋ H3O+ (aq) + OH (aq)

O gráfico da Figura 2 representa o produto iónico da água, Kw, em função da temperatura.

  • 11ºanoQuímica – Domínio 2 – subdomínio 1 (Reações ácido-base)

1.1. Determine o pH de uma amostra pura de água à temperatura de 40 ºC.

Apresente todas as etapas de resolução.

Resolução

 Por leitura do gráfico obtém-se Kw,40 ºC = 3,0 x 10-14

 Na água pura as concentrações dos iões hidrónio e hidróxido são iguais:

[H3O+] = [ OH]

 Cálculo da concentração do ião hidrónio:

  • Kw = |H3O+| |OH| ⇔ Kw = |H3O+|2 ⇔ |H3O+| = 1,73 x 10-7 mol dm-3

 Determinação do pH:

  • pH = -log |H3O+| = – log (1,73 x 10-7 ) = 6,8
Critérios
  • A resolução deve apresentar as seguintes etapas:

A) Cálculo da concentração hidrogeniónica ([H3O+] = 1,73 × 10-7 mol dm-3) a partir do valor de Kw à temperatura considerada.

B) Cálculo do pH da amostra pura de água a essa temperatura (pH = 6,8).

A resposta a este item deve ser enquadrada num dos níveis de desempenho relacionados com a consecução das etapas, de acordo com a tabela seguinte.

A classificação a atribuir à resposta resulta da pontuação decorrente do enquadramento num dos níveis de desempenho atrás descritos, à qual podem ser subtraídos pontos, de acordo com o enquadramento nos níveis de desempenho relacionados com o tipo de erros cometidos.

 
  • 11ºanoQuímica – Domínio 2 – subdomínio 1 (Reações ácido-base)

1.2. Selecione a única opção que contém os termos que preenchem, sequencialmente, os espaços seguintes.

O pH de uma amostra pura de água ________ à medida que a temperatura aumenta, _______ alteração do carácter neutro da água.

(A) aumenta … havendo

(B) diminui … não havendo

(C) diminui … havendo

(D) aumenta … não havendo

Resolução
  • Opção (B)

De acordo com o gráfico da figura 2, o valor de Kw aumenta com o aumento de temperatura.

Assim, aumentando a temperatura, o equilíbrio do sistema referente à autoionização da água desloca-se no sentido direto, aumentando assim [H3O+] e [HO].

Como Kw = [H3O+] x [HO], a um maior valor de Kw corresponde um maior valor de [H3O+] e como pH = – log [H3O+], quanto maior for [H3O+] menor será o valor de pH.

O deslocamento do equilíbrio não altera a relação entre [H3O+] e [HO].

Estas concentrações continuam a ser iguais, não havendo, portanto, alteração do carácter neutro da água.

Critérios
  • Opção (B)…………. 5 pontos
 
  • 11ºanoQuímica – Domínio 2 – subdomínio 1 (Reações ácido-base)

1.3. Conclua, justificando, se a reação de auto-ionização da água é endotérmica ou exotérmica.

Resolução

A partir do gráfico verifica-se que com o aumento da temperatura o Kw aumenta, o que significa que a extensão da auto-ionização da água também aumenta, ou seja, é favorecida a reacção directa.

De acordo com o Princípio de Le Châtelier, o aumento de temperatura favorece a reacção endotérmica.

Assim, conclui-se que a reacção de auto-ionização da água é endotérmica.

Critérios
  • A resposta deve apresentar os seguintes tópicos:

A) Verifica-se [, a partir do gráfico,] que Kw aumenta à medida que a temperatura aumenta, o que significa que a reação de auto-ionização da água é favorecida pelo aumento da temperatura.

B) [De acordo com o Princípio de Le Châtelier,] um aumento de temperatura favorece a reação endotérmica.

C) Conclui-se, assim, que a reação de auto-ionização da água é endotérmica.

A classificação da resposta a este item é feita em função do enquadramento da mesma num dos níveis de desempenho, de acordo com a tabela seguinte.

 
  • 11ºanoQuímica – Domínio 2 – subdomínio 1 (Reações ácido-base)

2. A água é uma espécie química anfotérica (ou anfiprótica), porque, em reações de ácido-base,

(A) se comporta sempre como um ácido.

(B) se comporta sempre como uma base.

(C) se pode comportar como um ácido ou como uma base.

(D) nunca se comporta como um ácido nem como uma base.

Resolução
  • Opção (C)

As espécies químicas podem ser classificadas quanto ao carácter ácido-base em ácidas, básicas, neutras e anfipróticas.

As espécies que, como a água, se podem comportar como ácidas e como básicas denominam-se anfipróticas ou anfotéricas.

  • A água pode ceder ou aceitar iões H+.
Critérios
  • Opção (C)…………. 5 pontos
 
  • 11ºanoQuímica – Domínio 2 – subdomínio 1 (Reações ácido-base)

3. Numa solução aquosa ácida, a 25 ºC, verifica-se a relação

(A) [H3O+] = [OH] x 1,0 x 10-14

(B) [H3O+] x [OH] < 1,0 x 10-14

(C) [H3O+] x [OH] > 1,0 x 10-14

(D) [H3O+] x [OH] = 1,0 x 10-14

Resolução
  • Opção (D)

Para soluções diluídas o Kw = |H3O+| |OH| só depende da temperatura.

Logo, a uma determinada temperatura, mantém-se constante independentemente do carácter químico da solução.

⇒ A 25 ºC o produto iónico da água é 1,0 x 10-14.

Critérios
  • Opção (D)…………. 5 pontos
 
  • 10ºanoQuímica – Domínio 2 – subdomínio 1 (Ligação química)

4. Atendendo apenas à estequiometria do composto, a molécula H2O poderia assumir uma geometria linear.

No entanto, aquela molécula apresenta uma geometria angular.

Explique por que é que a geometria da molécula de água é angular.

Resolução

A molécula assume a geometria que minimiza a energia e, portanto, também as repulsões entre os electrões e as repulsões entre os núcleos.

Na molécula de água, H2O, existem duas ligações covalentes simples O-H e dois pares de eletrões não ligantes no oxigénio.

As repulsões que se estabelecem entre os pares de electrões não ligantes e os dois pares de electrões ligantes (ligações oxigénio-hidrogénio) fazem com que o ângulo de ligação HOH seja inferior a 180º, assumindo a molécula uma geometria angular.

Critérios
  • A resposta deve apresentar os seguintes tópicos:

A) Na molécula de água, existem dois pares de eletrões [de valência] não ligantes no átomo de oxigénio.

B) As repulsões que se estabelecem entre estes pares de eletrões e os dois pares de eletrões [de valência] ligantes forçam a molécula a assumir uma geometria angular.

A classificação da resposta a este item é feita em função do enquadramento da mesma num dos níveis de desempenho, de acordo com a tabela seguinte.

 

Grupo V

Para investigar como varia a energia cinética de um corpo com a distância percorrida sobre um plano inclinado, um grupo de alunos montou uma prancha flexível, de modo que uma parte formasse uma rampa com uma certa inclinação em relação à horizontal, como está representado na Figura 3.

Os alunos abandonaram um carrinho, de massa 457,0 g, em diversos pontos da rampa, medindo, em cada caso, a distância, d, percorrida até ao final da rampa e o valor da velocidade, v, com que o carrinho aí chegava.

  • 10ºanoFísica – subdomínio 1 (Energia e movimentos)
  • 10ºanoFísica – A.l. – 1.1 – Movimento num plano inclinado

1. Em três ensaios, realizados nas mesmas condições, os alunos mediram, com um sensor, os valores da velocidade, v , que se encontram registados na tabela seguinte.

Obtenha o resultado da medição da velocidade.

Exprima esse resultado em função do valor mais provável e da incerteza absoluta.

Apresente todas as etapas de resolução.

Resolução

Valor médio do valor da velocidade:

Módulos dos desvios nos vários ensaios:

Tomando para a incerteza absoluta o valor máximo do módulo dos desvios o resultado da medição da velocidade é:

  • v = (0,847 ± 0,006) m s-1
Critérios
  • A resolução deve apresentar as seguintes etapas:

A) Determinação do valor mais provável da velocidade do carrinho (v = 0,847 ms-1). 

B) Determinação dos módulos dos desvios de cada valor medido em relação ao valor mais provável (0,001 ms-1; 0,006 ms-1; 0,005 ms-1).

C) Apresentação do resultado da medição da velocidade do carrinho

(v = 0,847 ms-1 ± 0,006 ms-1 ou v = 0,847 ms-1 ± 0,004 ms-1)

A resposta a este item deve ser enquadrada num dos níveis de desempenho relacionados com a consecução das etapas, de acordo com a tabela seguinte.

A classificação a atribuir à resposta resulta da pontuação decorrente do enquadramento num dos níveis de desempenho atrás descritos, à qual podem ser subtraídos pontos, de acordo com o enquadramento nos níveis de desempenho relacionados com o tipo de erros cometidos.

 
  • 10ºanoFísica – subdomínio 1 (Energia e movimentos)
  • 10ºanoFísica – A.l. – 1.1 – Movimento num plano inclinado

2. Admita que era pedido aos alunos que determinassem o valor da velocidade, v , do carrinho no final da rampa, não com um sensor, mas tendo que utilizar obrigatoriamente um cronómetro e uma fita métrica.

Descreva uma metodologia adequada à tarefa pedida aos alunos, explicitando os passos necessários àquela determinação.

Resolução

Com o cronómetro mede-se o tempo, t, necessário para que o carrinho percorra a distância, d, medida com a fita métrica.

Admitindo que se trata de um movimento uniformemente acelerado e que o carrinho parte do repouso, determina-se o módulo da aceleração com base na equação das posições:

Conhecendo a aceleração e o tempo, determina-se o valor da velocidade do carrinho no final da rampa:

Critérios
  • A resposta deve apresentar os seguintes tópicos:

A) Medir [com a fita métrica] uma distância percorrida pelo carrinho sobre a rampa. 

B) Medir [com o cronómetro] o tempo que o carrinho demora a percorrer essa distância.

C) Calcular a velocidade do carrinho, utilizando as equações do movimento retilíneo uniformemente acelerado OU equivalente.

ou

A) Medir [com a fita métrica] uma distância percorrida pelo carrinho sobre a parte horizontal da prancha. 

B) Medir [com o cronómetro] o tempo que o carrinho demora a percorrer essa distância.

C) Calcular a velocidade do carrinho, utilizando a equação do movimento retilíneo uniforme OU equivalente.

A classificação da resposta a este item é feita em função do enquadramento da mesma num dos níveis de desempenho, de acordo com a tabela seguinte.

Nota – Se não houver definição do percurso ou se o percurso definido não for adequado à tarefa pedida, o tópico C não deve ser, em qualquer caso, considerado para efeito de classificação.

 
  • 10ºanoFísica – subdomínio 1 (Energia e movimentos)
  • 10ºanoFísica – A.l. – 1.1 – Movimento num plano inclinado

3. Na Figura 4, está representado o gráfico da energia cinética do carrinho no final da rampa, para diversos valores da distância percorrida, d.

   

O valor da velocidade, v , em metro por segundo (ms-1), com que o carrinho chegará ao final da rampa, se, sobre esta, percorrer 2,00 m, pode ser calculado pela expressão

Resolução
  • Opção (A)

Extrapolando a linha do gráfico, prolongando-a para um valor de energia cinética correspondente a 2,00 m, encontra-se 0,170 J para a energia cinética:

Critérios
  • Opção (A)…………. 5 pontos
 
  • 10ºanoFísica – subdomínio 1 (Energia e movimentos)
  • 10ºanoFísica – A.l. – 1.1 – Movimento num plano inclinado

4. Os alunos repetiram a experiência, colocando uma sobrecarga sobre o carrinho.

Em qual das figuras seguintes se encontram corretamente esboçados os gráficos da energia cinética do carrinho (sem e com sobrecarga) no final da rampa, em função da distância percorrida?

Resolução
  • Opção (A)

O prolongamento da linha do gráfico da energia cinética em função da distância até se encontrar o zero da distância percorrida deve corresponder a uma energia cinética nula.

Por outro lado:

  • WFr = ΔEc ⇒ Fr d cos 0º = Ecf – 0 ⇒ Ec = m a d

O declive do gráfico da energia cinética em função da distância ( m a ) aumenta com a massa do sistema.

Critérios
  • Opção (A)…………. 5 pontos
 

Grupo VI

Considere um carrinho que se move segundo uma trajetória retilínea, coincidente com o eixo Ox de um referencial unidimensional.

Na Figura 5, encontra-se representado o gráfico da componente escalar, segundo esse eixo, da velocidade, v, do carrinho em função do tempo, t , obtido em laboratório com um sistema de aquisição de dados.

  • 11ºanoFísica  – Domínio 1 – subdomínio 3 (Forças e movimentos)

1. Houve inversão do sentido do movimento do carrinho no intervalo de tempo

(A) [1,6 ; 2,0] s

(B) [3,4 ; 3,8] s

(C) [4,8 ; 5,2] s

(D) [5,6 ; 6,0] s

Resolução
  • Opção (C)

Há inversão sempre que a componente escalar da velocidade muda de positiva para negativa ou vice-versa.

Logo, o sentido do movimento do carrinho inverte-se nos instantes 3,9 s e 5,0 s.

O instante 5,0 s pertence ao intervalo de tempo [4,8; 5,2] s.

Critérios
  • Opção (C)…………. 5 pontos
 
  • 11ºanoFísica  – Domínio 1 – subdomínio 3 (Forças e movimentos)

2. Calcule a distância percorrida pelo carrinho no intervalo de tempo [0,0 ; 1,4] s .

Apresente todas as etapas de resolução.

Resolução

No intervalo [0,0; 1,4] s pode considerar-se que a velocidade aumenta proporcionalmente ao tempo, considerando assim que o gráfico v(t) é linear.

O carrinho parte do repouso e ao fim de 1,4 s o módulo da sua velocidade é 0,40 m s-1.

A distância percorrida é igual ao módulo do deslocamento que se pode obter a partir da área entre a curva do gráfico e o eixo dos tempos (área de um triângulo):

ou

No intervalo [0,0; 1,4] s pode considerar-se que o movimento é uniformemente acelerado.

O valor da aceleração é:

A distância percorrida é igual ao módulo do deslocamento que se determina a partir da equação das posições.

A velocidade inicial do carrinho é nula, portanto:

Critérios
  • A resolução deve apresentar as seguintes etapas:

A) Determinação do valor da aceleração do carrinho no intervalo de tempo considerado (a = 0,286 ms-2).

B) Determinação da distância percorrida pelo carrinho no intervalo de tempo considerado (Δx = 0,28 m).

A resposta a este item deve ser enquadrada num dos níveis de desempenho relacionados com a consecução das etapas, de acordo com a tabela seguinte.

A classificação a atribuir à resposta resulta da pontuação decorrente do enquadramento num dos níveis de desempenho atrás descritos, à qual podem ser subtraídos pontos, de acordo com o enquadramento nos níveis de desempenho relacionados com o tipo de erros cometidos.

 
  • 11ºanoFísica  – Domínio 1 – subdomínio 3 (Forças e movimentos)

3. Em qual dos seguintes esquemas se encontram corretamente representados os vetores velocidade, v, e aceleração, a, no instante t = 3,4 s ?

Resolução
  • Opção (B)

No instante t = 3,4 s a componente escalar da velocidade é positiva, portanto o carrinho move-se no sentido arbitrado como positivo (a velocidade tem o sentido positivo do eixo dos xx).

Nesse instante o movimento do carrinho é retardado (o módulo da velocidade diminui) logo a aceleração tem sentido oposto à velocidade.

Critérios
  • Opção (B)…………. 5 pontos
 

FIM

Deixe um comentário

O seu endereço de email não será publicado. Campos obrigatórios marcados com *

Scroll to Top
× Como podemos ajudar?